Официальное опубликование правовых актов
ОФИЦИАЛЬНОЕ ОПУБЛИКОВАНИЕ
Приказ министерства архитектуры и градостроительства Воронежской области от 10.06.2024 № 45-01-04/215
"О внесении изменений в правила землепользования и застройки Орловского сельского поселения Новоусманского муниципального района Воронежской области"
(Зарегистрирован 26.06.2024 № 708)
Номер опубликования: 3601202406280005
Дата опубликования: 28.06.2024
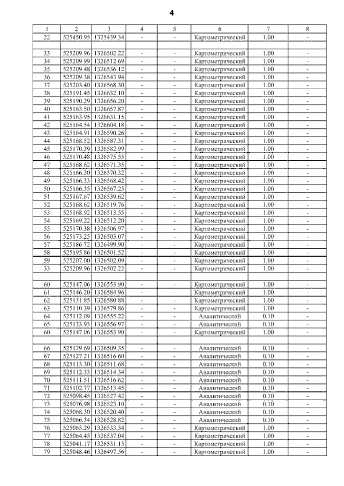
Страница №37 из 63:
Увеличить