Официальное опубликование правовых актов
ОФИЦИАЛЬНОЕ ОПУБЛИКОВАНИЕ
Приказ министерства архитектуры и градостроительства Воронежской области от 11.06.2024 № 45-01-04/218
"О внесении изменений в правила землепользования и застройки Отрадненского сельского поселения Новоусманского муниципального района Воронежской области"
(Зарегистрирован 26.06.2024 № 711)
Номер опубликования: 3601202406280003
Дата опубликования: 28.06.2024
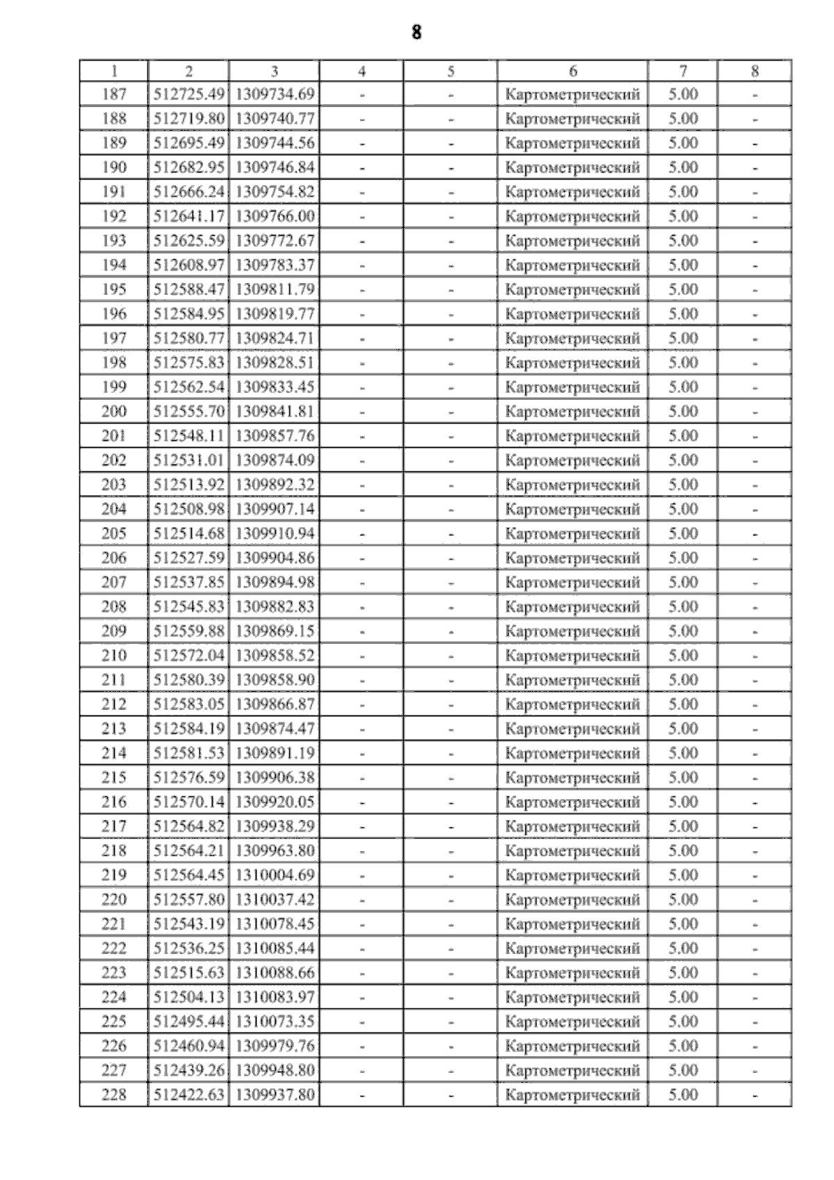
Страница №158 из 161:
Увеличить