Официальное опубликование правовых актов
ОФИЦИАЛЬНОЕ ОПУБЛИКОВАНИЕ
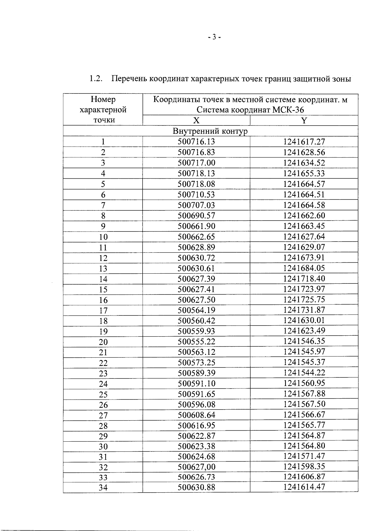
Приказ управления по охране объектов культурного наследия Воронежской области от 14.06.2024 № 71-01-07/265
"О внесении изменения в приказ управления по охране объектов культурного наследия Воронежской области от 11.11.2019 № 71-01-07/278"
(Зарегистрирован 24.06.2024 № 692)
Номер опубликования: 3601202406270009
Дата опубликования: 27.06.2024
Страница №3 из 12:
Увеличить