Официальное опубликование правовых актов
ОФИЦИАЛЬНОЕ ОПУБЛИКОВАНИЕ
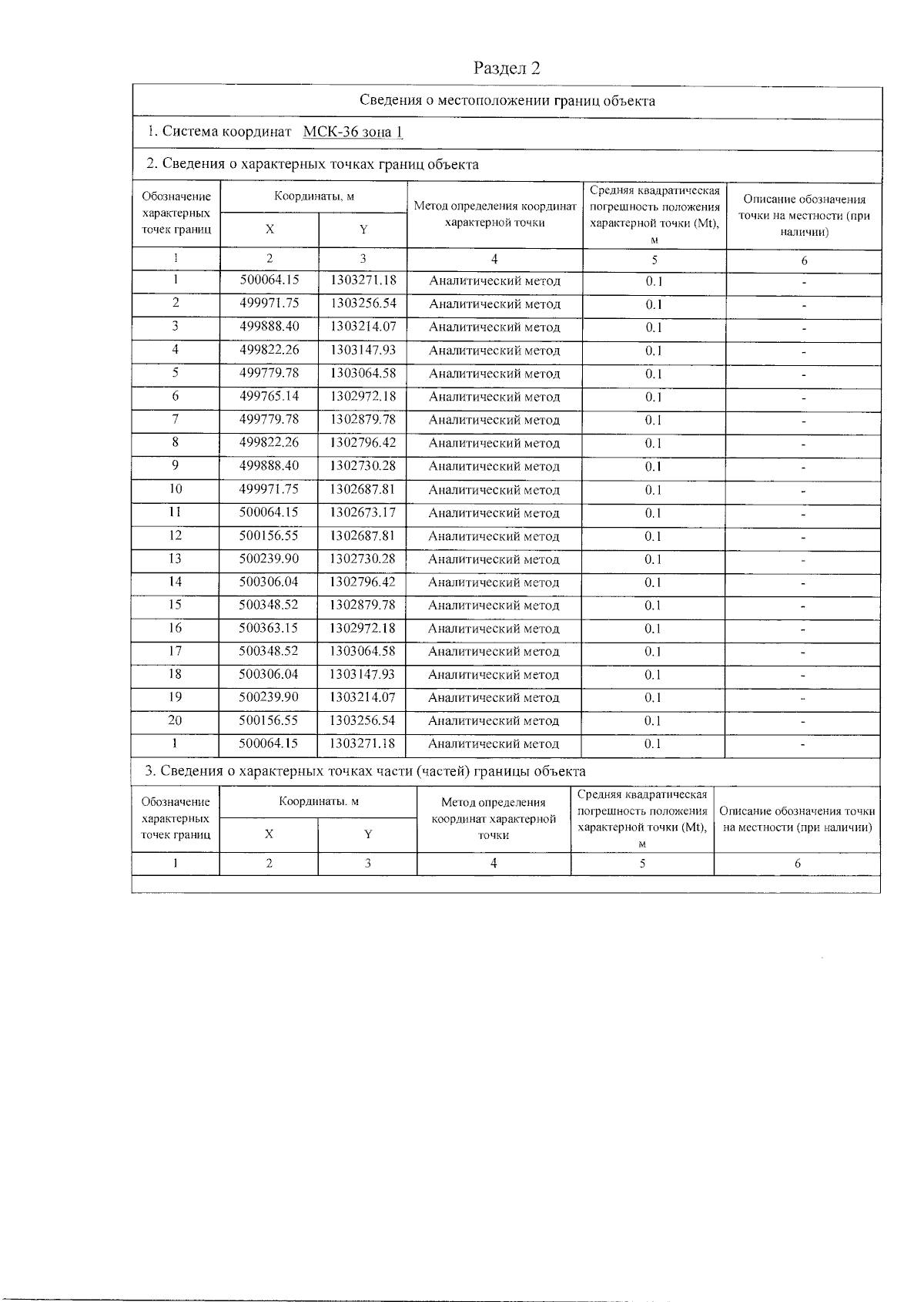
Приказ министерства природных ресурсов и экологии Воронежской области от 06.06.2024 № 209
"Об установлении зон санитарной охраны водозаборного участка скважины № 1 для хозяйственно-питьевого водоснабжения ж.д. ст. о.п.600 км"
(Зарегистрирован 20.06.2024 № 674)
Номер опубликования: 3601202406250009
Дата опубликования: 25.06.2024
Страница №16 из 17:
Увеличить