Официальное опубликование правовых актов
ОФИЦИАЛЬНОЕ ОПУБЛИКОВАНИЕ
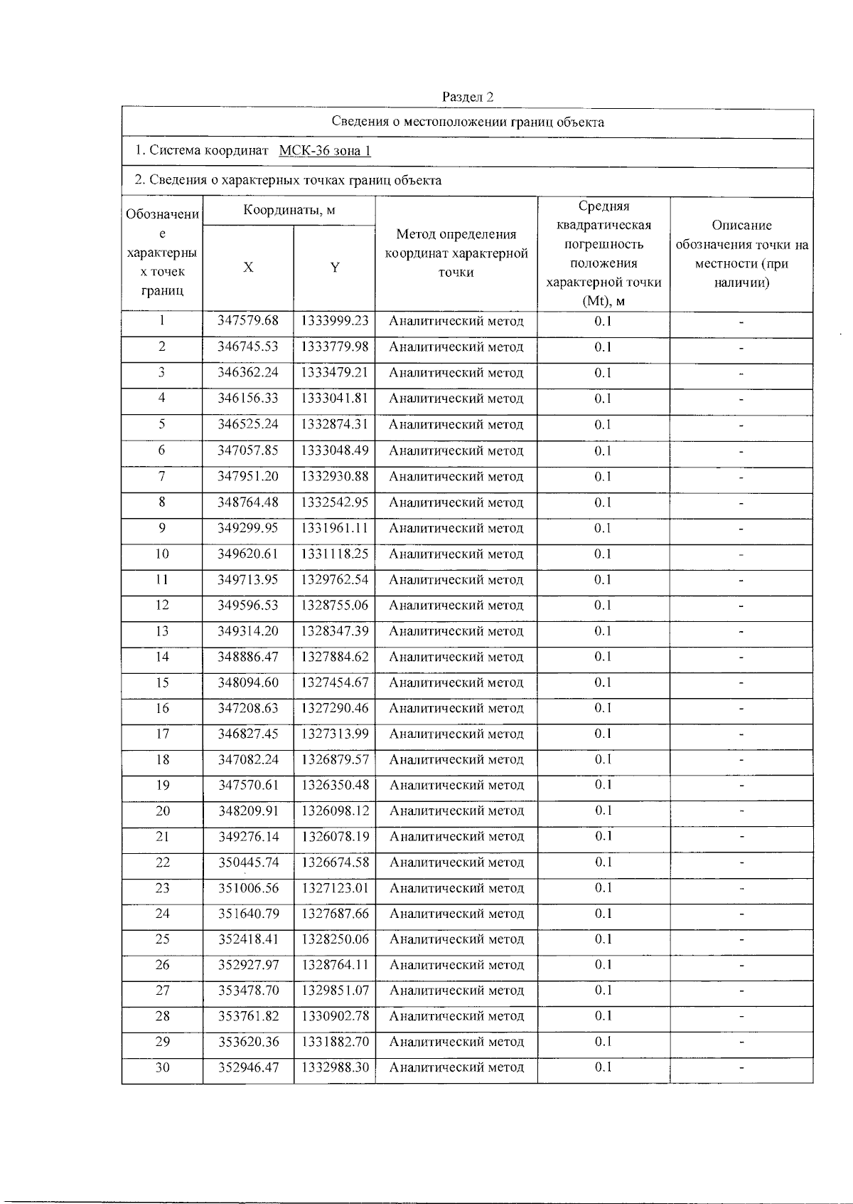
Приказ министерства природных ресурсов и экологии Воронежской области от 10.06.2024 № 219
"Об установлении зон санитарной охраны водозаборных участков скважин №№ 4,5,6,7,8,9,10,11,12,13,14 для хозяйственно-питьевого водоснабжения населения, а также технологических нужд железнодорожной станции Россошь"
(Зарегистрирован 20.06.2024 № 680)
Номер опубликования: 3601202406250003
Дата опубликования: 25.06.2024
Страница №46 из 48:
Увеличить