Приказ министерства природных ресурсов и экологии Воронежской области от 05.06.2024 № 205
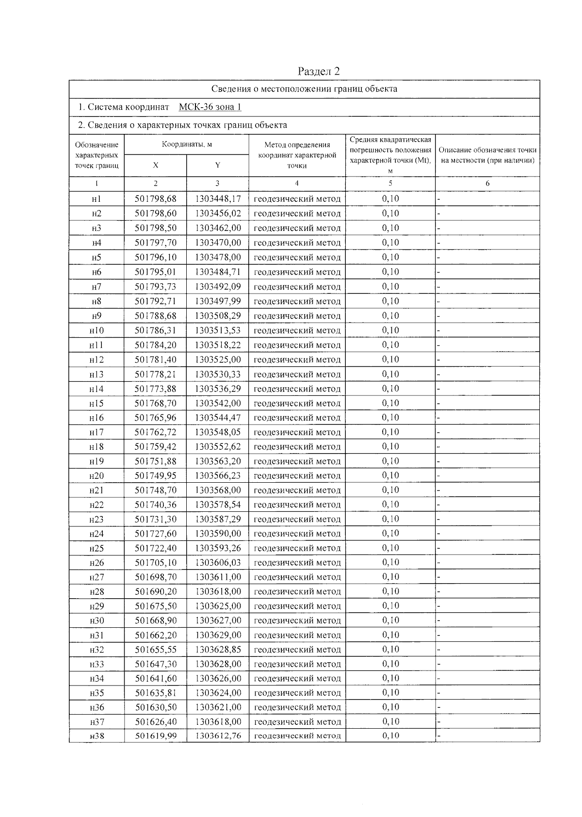
"Об установлении зон санитарной охраны скважин № 1/79385, 2/79386, 3/79387 для питьевого, хозяйственно-бытового водоснабжения МКП "Воронежтеплосеть"
(Зарегистрирован 20.06.2024 № 670)
"Об установлении зон санитарной охраны скважин № 1/79385, 2/79386, 3/79387 для питьевого, хозяйственно-бытового водоснабжения МКП "Воронежтеплосеть"
(Зарегистрирован 20.06.2024 № 670)
Номер опубликования: 3601202406240003
Дата опубликования:
24.06.2024
