Официальное опубликование правовых актов
ОФИЦИАЛЬНОЕ ОПУБЛИКОВАНИЕ
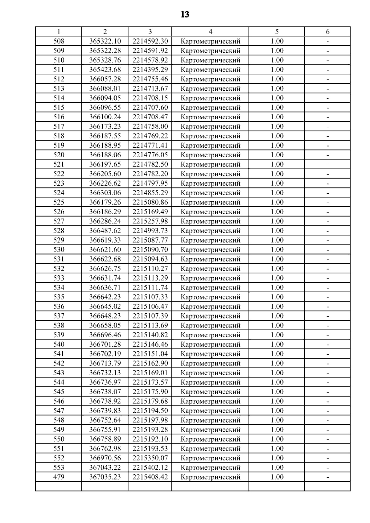
Приказ министерства архитектуры и градостроительства Воронежской области от 29.05.2024 № 45-01-04/187
"О внесении изменений в правила землепользования и застройки Ширяевского сельского поселения Калачеевского муниципального района Воронежской области"
(Зарегистрирован 07.06.2024 № 614)
Номер опубликования: 3601202406110009
Дата опубликования: 11.06.2024
Страница №25 из 55:
Увеличить