Официальное опубликование правовых актов
ОФИЦИАЛЬНОЕ ОПУБЛИКОВАНИЕ
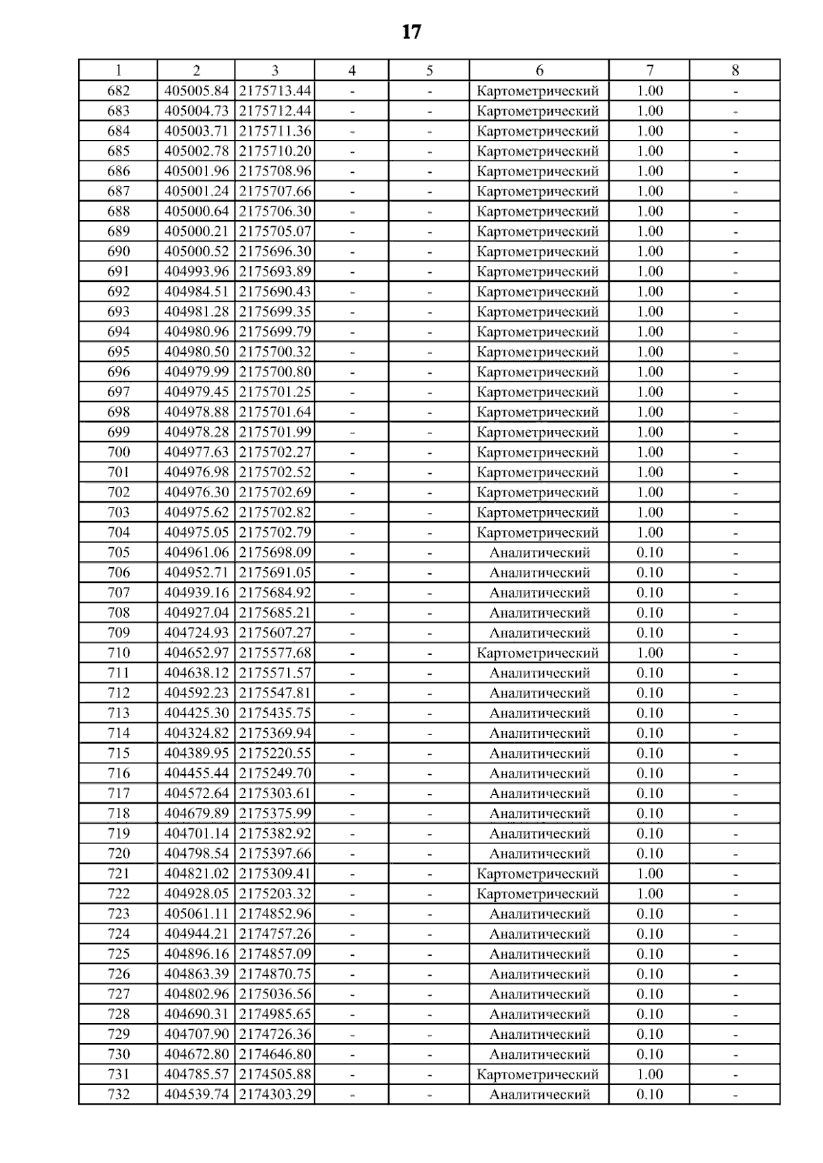
Приказ министерства архитектуры и градостроительства Воронежской области от 29.05.2024 № 45-01-04/183
"О внесении изменений в правила землепользования и застройки Клёповского сельского поселения Бутурлиновского муниципального района Воронежской области"
(Зарегистрирован 07.06.2024 № 611)
Номер опубликования: 3601202406110005
Дата опубликования: 11.06.2024
Страница №24 из 58:
Увеличить