Официальное опубликование правовых актов
ОФИЦИАЛЬНОЕ ОПУБЛИКОВАНИЕ
Приказ министерства архитектуры и градостроительства Воронежской области от 29.05.2024 № 45-01-04/182
"О внесении изменений в правила землепользования и застройки Вязноватовского сельского поселения Нижнедевицкого муниципального района Воронежской области"
(Зарегистрирован 05.06.2024 № 589)
Номер опубликования: 3601202406060004
Дата опубликования: 06.06.2024
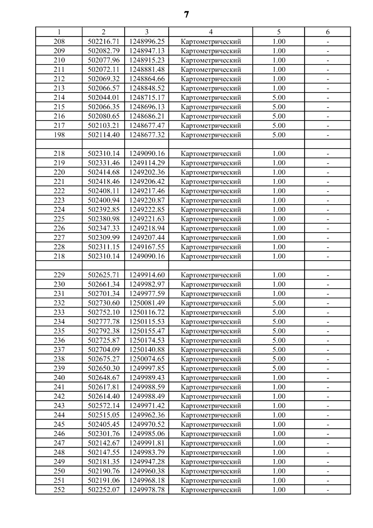
Страница №54 из 66:
Увеличить