Официальное опубликование правовых актов
ОФИЦИАЛЬНОЕ ОПУБЛИКОВАНИЕ
Приказ министерства архитектуры и градостроительства Воронежской области от 03.06.2024 № 45-01-04/202
"О внесении изменений в правила землепользования и застройки городского поселения – город Лиски Лискинского муниципального района Воронежской области"
(Зарегистрирован 06.06.2024 № 591)
Номер опубликования: 3601202406060003
Дата опубликования: 06.06.2024
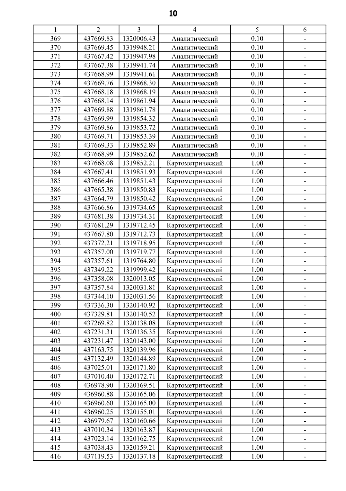
Страница №278 из 441:
Увеличить