Официальное опубликование правовых актов
ОФИЦИАЛЬНОЕ ОПУБЛИКОВАНИЕ
Приказ министерства архитектуры и градостроительства Воронежской области от 24.05.2024 № 45-01-04/181
"О внесении изменений в правила землепользования и застройки Краснознаменского сельского поселения Лискинского муниципального района Воронежской области"
(Зарегистрирован 05.06.2024 № 588)
Номер опубликования: 3601202406060002
Дата опубликования: 06.06.2024
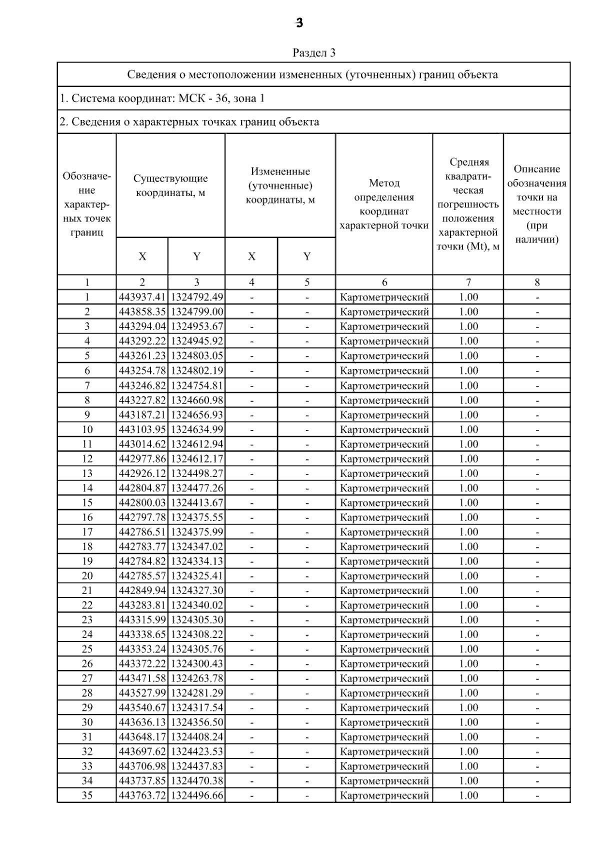
Страница №30 из 40:
Увеличить