Официальное опубликование правовых актов
ОФИЦИАЛЬНОЕ ОПУБЛИКОВАНИЕ
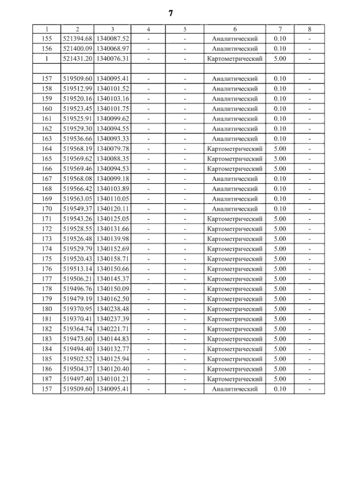
Приказ министерства архитектуры и градостроительства Воронежской области от 21.05.2024 № 45-01-04/171
"О внесении изменений в правила землепользования и застройки Правохавского сельского поселения Верхнехавского муниципального района Воронежской области"
(Зарегистрирован 29.05.2024 № 556)
Номер опубликования: 3601202405290012
Дата опубликования: 29.05.2024
Страница №35 из 36:
Увеличить