Официальное опубликование правовых актов
ОФИЦИАЛЬНОЕ ОПУБЛИКОВАНИЕ
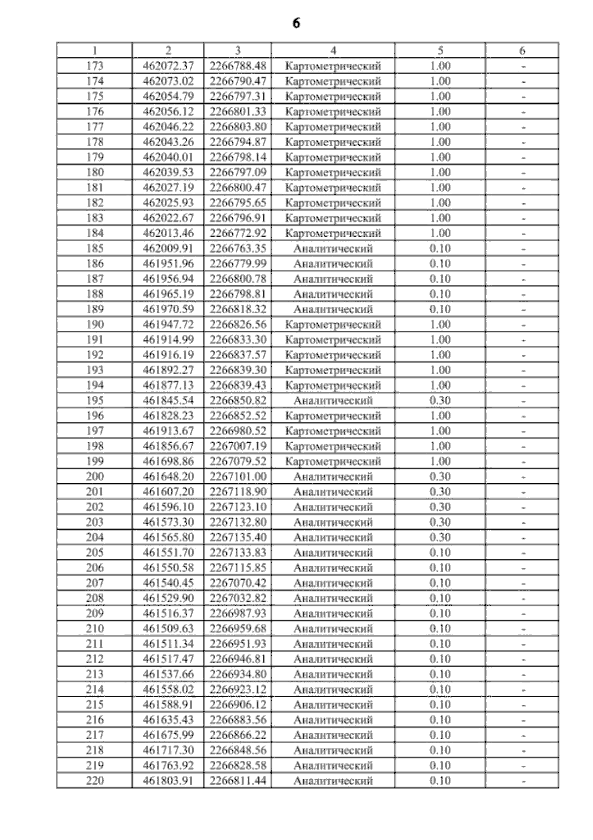
Приказ министерства архитектуры и градостроительства Воронежской области от 16.05.2024 № 45-01-04/165
"О внесении изменений в правила землепользования и застройки городского поселения – город Новохопёрск Новохопёрского муниципального района Воронежской области"
(Зарегистрирован 21.05.2024 № 527)
Номер опубликования: 3601202405220002
Дата опубликования: 22.05.2024
Страница №242 из 310:
Увеличить