Официальное опубликование правовых актов
ОФИЦИАЛЬНОЕ ОПУБЛИКОВАНИЕ
Приказ министерства архитектуры и градостроительства Воронежской области от 02.05.2024 № 45-01-04/153
"О внесении изменений в правила землепользования и застройки Среднеикорецкого сельского поселения Лискинского муниципального района Воронежской области"
(Зарегистрирован 14.05.2024 № 510)
Номер опубликования: 3601202405150011
Дата опубликования: 15.05.2024
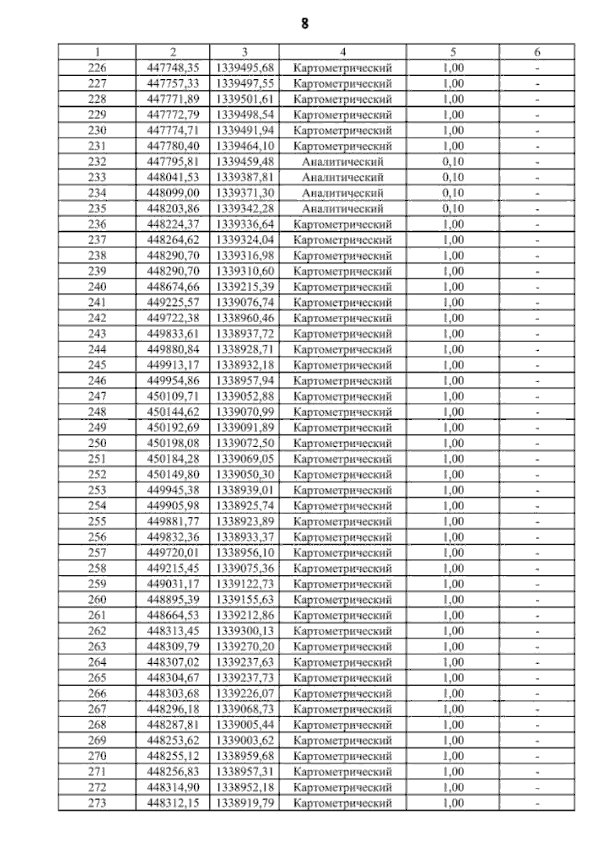
Страница №18 из 175:
Увеличить