Официальное опубликование правовых актов
ОФИЦИАЛЬНОЕ ОПУБЛИКОВАНИЕ
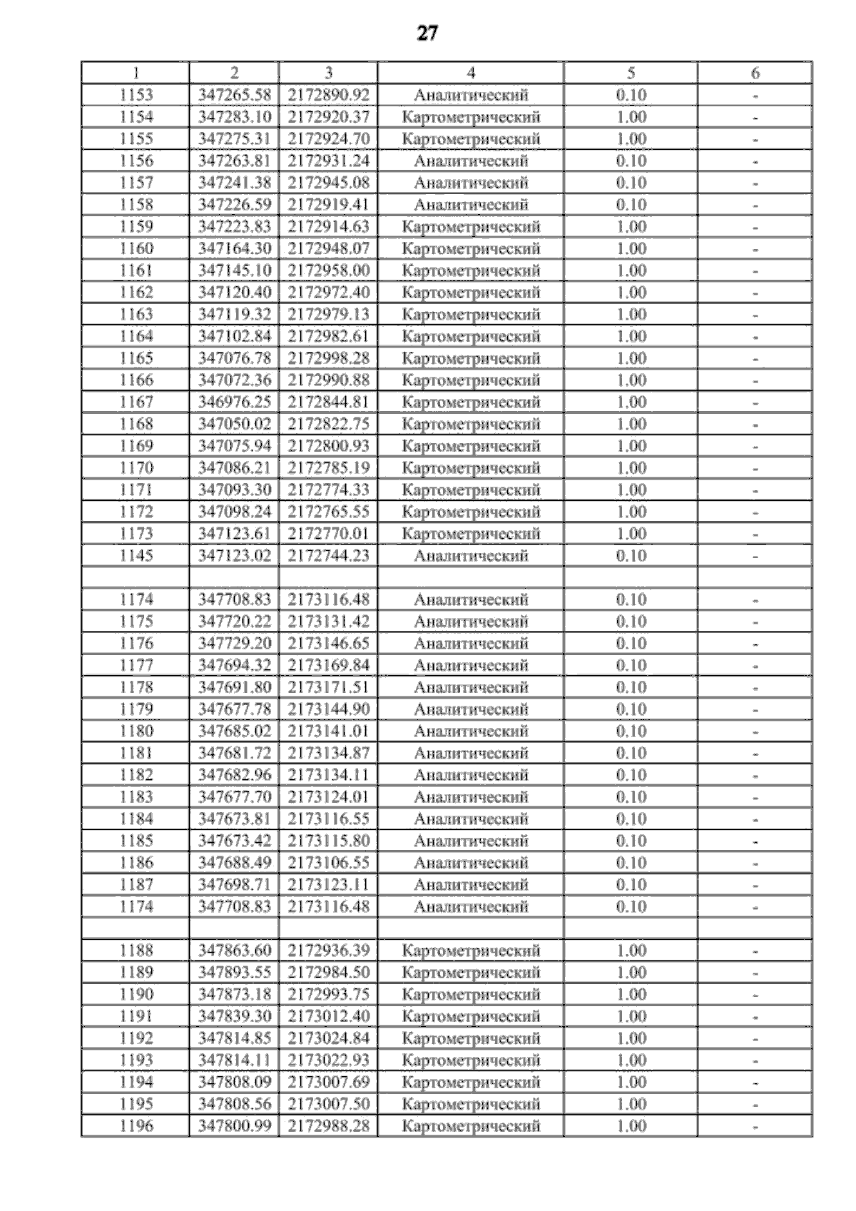
Приказ министерства архитектуры и градостроительства Воронежской области от 02.05.2024 № 45-01-04/152
"О внесении изменений в правила землепользования и застройки Верхнемамонского сельского поселения Верхнемамонского муниципального района Воронежской области"
(Зарегистрирован 14.05.2024 № 509)
Номер опубликования: 3601202405150010
Дата опубликования: 15.05.2024
Страница №33 из 66:
Увеличить