Официальное опубликование правовых актов
ОФИЦИАЛЬНОЕ ОПУБЛИКОВАНИЕ
Приказ министерства архитектуры и градостроительства Воронежской области от 02.05.2024 № 45-01-04/151
"О внесении изменений в правила землепользования и застройки Тресоруковского сельского поселения Лискинского муниципального района Воронежской области"
(Зарегистрирован 14.05.2024 № 508)
Номер опубликования: 3601202405150009
Дата опубликования: 15.05.2024
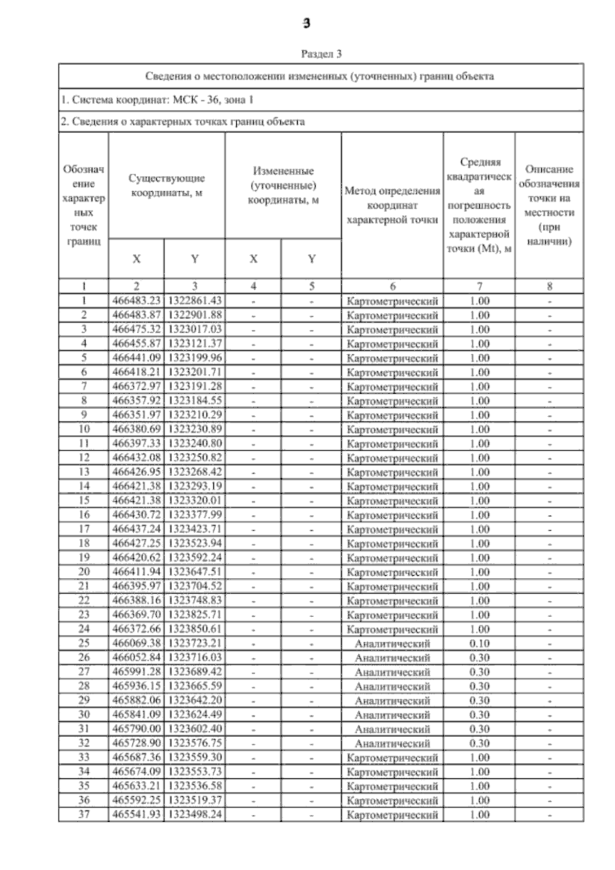
Страница №27 из 59:
Увеличить