Официальное опубликование правовых актов
ОФИЦИАЛЬНОЕ ОПУБЛИКОВАНИЕ
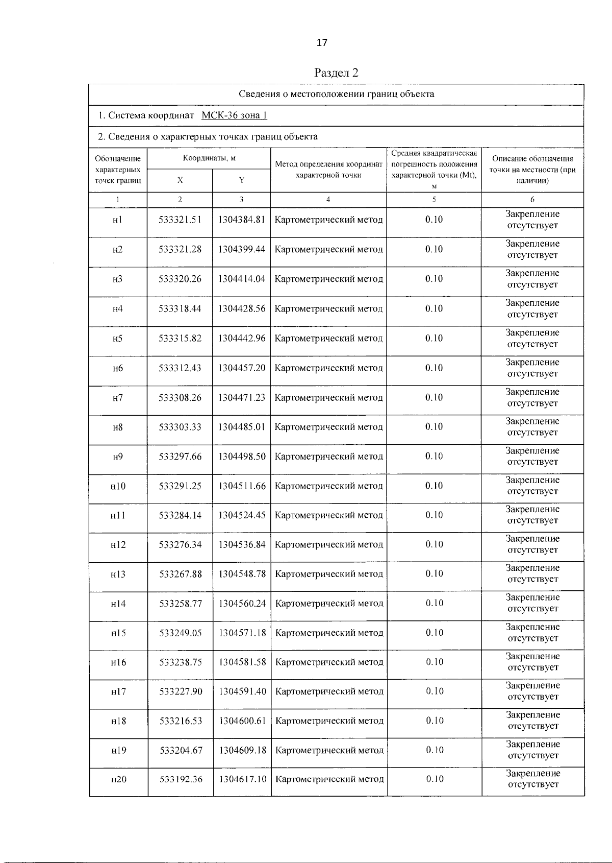
Приказ министерства природных ресурсов и экологии Воронежской области от 22.04.2024 № 138
"Об установлении зон санитарной охраны действующей скважины для питьевого и хозяйственно-бытового водоснабжения ТСН "ПСК Медик"
(Зарегистрирован 25.04.2024 № 469)
Номер опубликования: 3601202404260002
Дата опубликования: 26.04.2024
Страница №19 из 25:
Увеличить