Официальное опубликование правовых актов
ОФИЦИАЛЬНОЕ ОПУБЛИКОВАНИЕ
Приказ министерства архитектуры и градостроительства Воронежской области от 15.04.2024 № 45-01-04/131
"О внесении изменений в правила землепользования и застройки Колодезянского сельского поселения Каширского муниципального района Воронежской области"
(Зарегистрирован 19.04.2024 № 456)
Номер опубликования: 3601202404230001
Дата опубликования: 23.04.2024
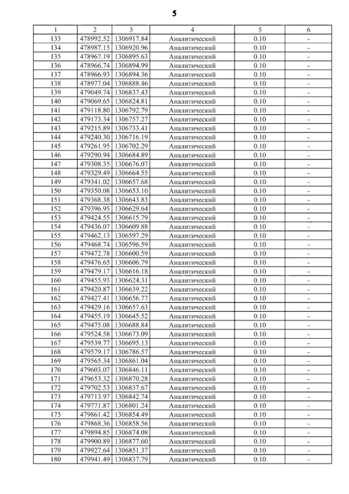
Страница №18 из 105:
Увеличить