Официальное опубликование правовых актов
ОФИЦИАЛЬНОЕ ОПУБЛИКОВАНИЕ
Приказ министерства архитектуры и градостроительства Воронежской области от 09.04.2024 № 45-01-04/127
"О внесении изменений в правила землепользования и застройки Каменского городского поселения Каменского муниципального района Воронежской области"
(Зарегистрирован 15.04.2024 № 439)
Номер опубликования: 3601202404160012
Дата опубликования: 16.04.2024
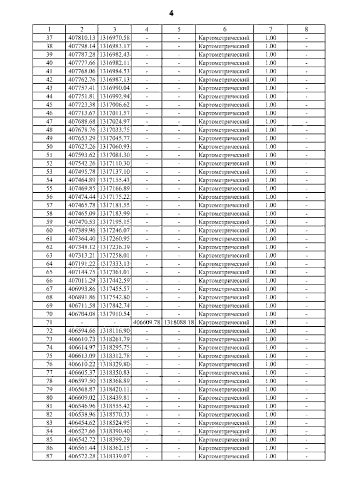
Страница №165 из 169:
Увеличить