Официальное опубликование правовых актов
ОФИЦИАЛЬНОЕ ОПУБЛИКОВАНИЕ
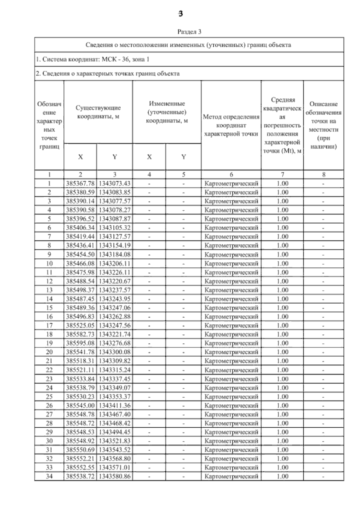
Приказ министерства архитектуры и градостроительства Воронежской области от 09.04.2024 № 45-01-04/125
"О внесении изменений в правила землепользования и застройки Лыковского сельского поселения Подгоренского муниципального района Воронежской области"
(Зарегистрирован 15.04.2024 № 438)
Номер опубликования: 3601202404160011
Дата опубликования: 16.04.2024
Страница №18 из 39:
Увеличить