Официальное опубликование правовых актов
ОФИЦИАЛЬНОЕ ОПУБЛИКОВАНИЕ
Приказ министерства архитектуры и градостроительства Воронежской области от 28.03.2024 № 45-01-04/109
"О внесении изменений в правила землепользования и застройки Берёзовского сельского поселения Рамонского муниципального района Воронежской области"
(Зарегистрирован 15.04.2024 № 432)
Номер опубликования: 3601202404160009
Дата опубликования: 16.04.2024
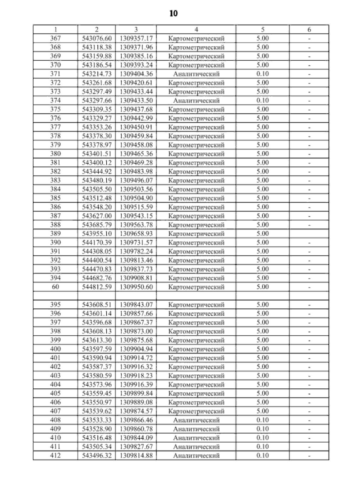
Страница №19 из 94:
Увеличить