Официальное опубликование правовых актов
ОФИЦИАЛЬНОЕ ОПУБЛИКОВАНИЕ
Приказ министерства архитектуры и градостроительства Воронежской области от 05.04.2024 № 45-01-04/122
"О внесении изменений в правила землепользования и застройки Сончинского сельского поселения Каменского муниципального района Воронежской области"
(Зарегистрирован 15.04.2024 № 436)
Номер опубликования: 3601202404160003
Дата опубликования: 16.04.2024
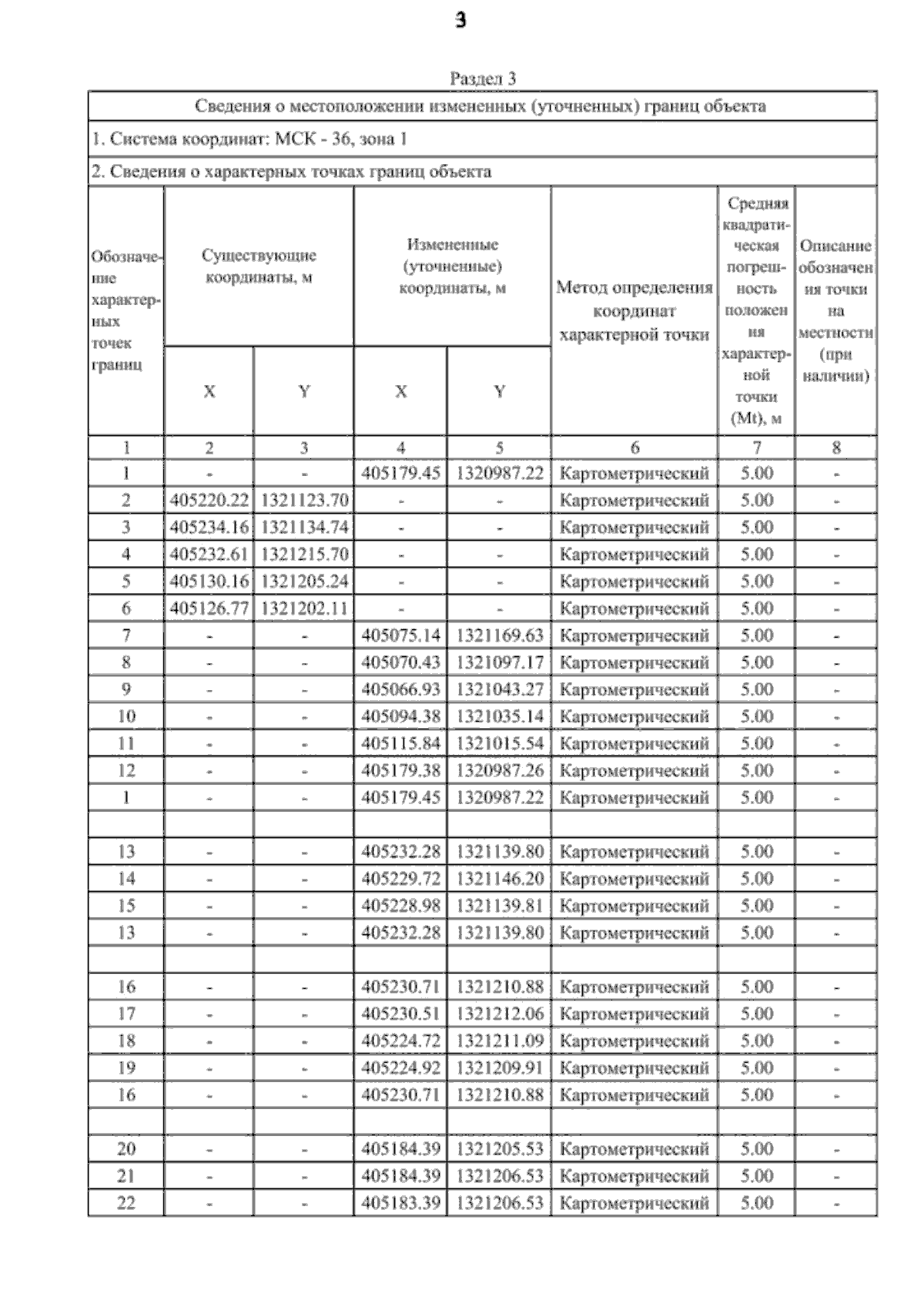
Страница №33 из 34:
Увеличить