Официальное опубликование правовых актов
ОФИЦИАЛЬНОЕ ОПУБЛИКОВАНИЕ
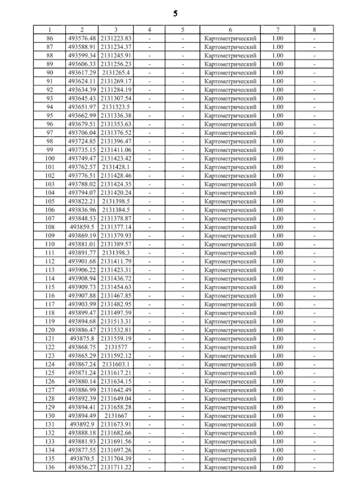
Приказ министерства архитектуры и градостроительства Воронежской области от 28.03.2024 № 45-01-04/108
"О внесении изменений в правила землепользования и застройки Краснолиманского сельского поселения Панинского муниципального района Воронежской области"
(Зарегистрирован 10.04.2024 № 401)
Номер опубликования: 3601202404150017
Дата опубликования: 15.04.2024
Страница №72 из 103:
Увеличить