Официальное опубликование правовых актов
ОФИЦИАЛЬНОЕ ОПУБЛИКОВАНИЕ
Приказ министерства архитектуры и градостроительства Воронежской области от 28.03.2024 № 45-01-04/99
"О внесении изменений в правила землепользования и застройки Дальнеполубянского сельского поселения Острогожского муниципального района Воронежской области"
(Зарегистрирован 10.04.2024 № 393)
Номер опубликования: 3601202404150016
Дата опубликования: 15.04.2024
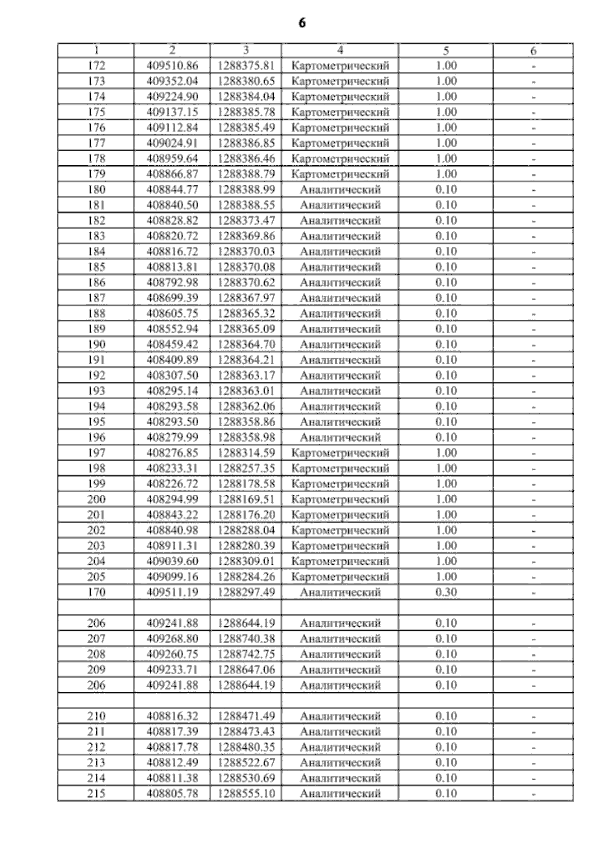
Страница №14 из 43:
Увеличить