Официальное опубликование правовых актов
ОФИЦИАЛЬНОЕ ОПУБЛИКОВАНИЕ
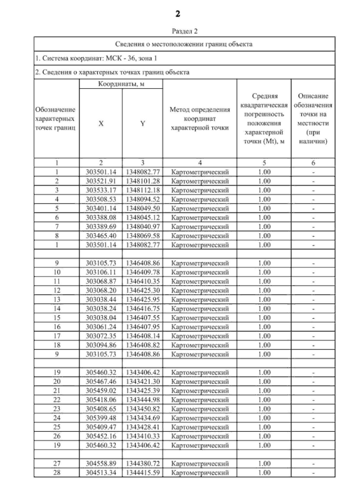
Приказ министерства архитектуры и градостроительства Воронежской области от 28.03.2024 № 45-01-04/103
"О внесении изменений в правила землепользования и застройки Журавского сельского поселения Кантемировского муниципального района Воронежской области"
(Зарегистрирован 10.04.2024 № 397)
Номер опубликования: 3601202404150015
Дата опубликования: 15.04.2024
Страница №80 из 91:
Увеличить