Официальное опубликование правовых актов
ОФИЦИАЛЬНОЕ ОПУБЛИКОВАНИЕ
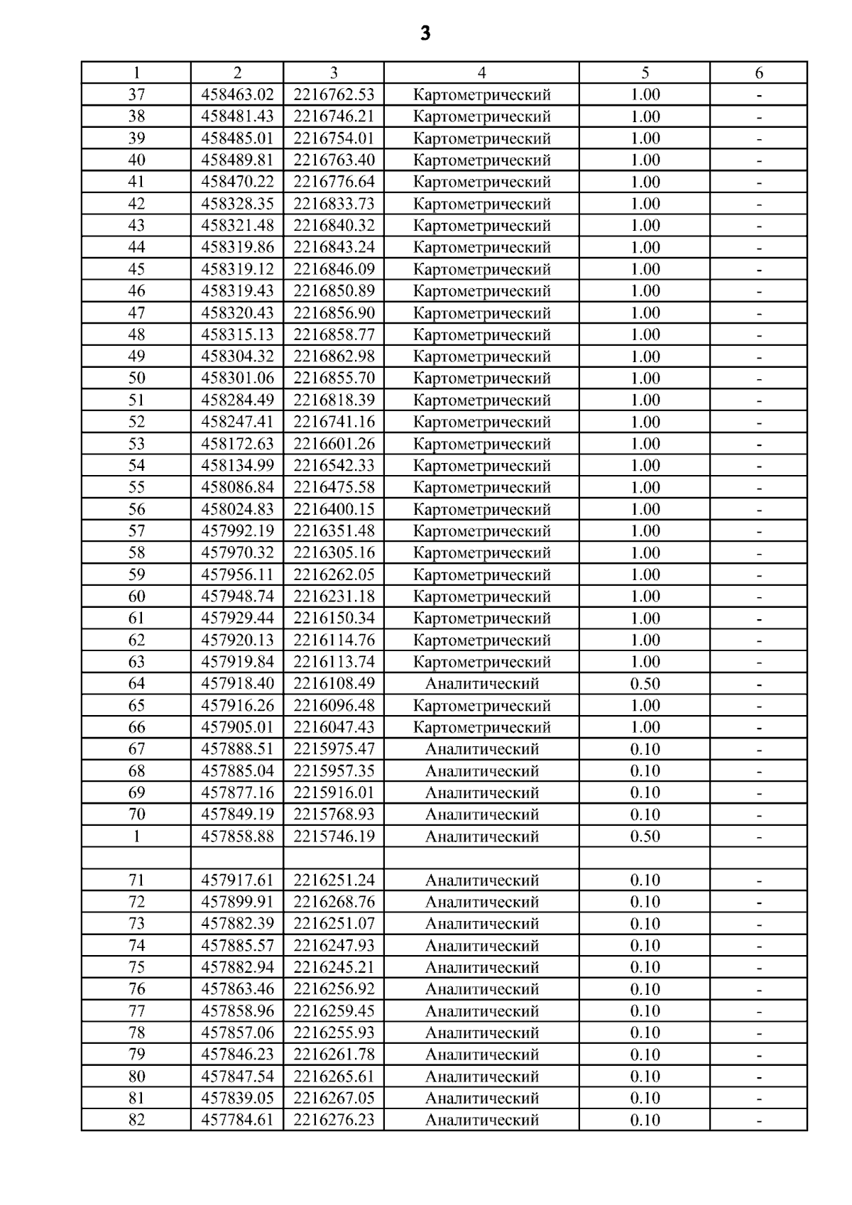
Приказ министерства архитектуры и градостроительства Воронежской области от 28.03.2024 № 45-01-04/100
"О внесении изменений в правила землепользования и застройки Добринского сельского поселения Таловского муниципального района Воронежской области"
(Зарегистрирован 10.04.2024 № 394)
Номер опубликования: 3601202404150014
Дата опубликования: 15.04.2024
Страница №6 из 19:
Увеличить