Официальное опубликование правовых актов
ОФИЦИАЛЬНОЕ ОПУБЛИКОВАНИЕ
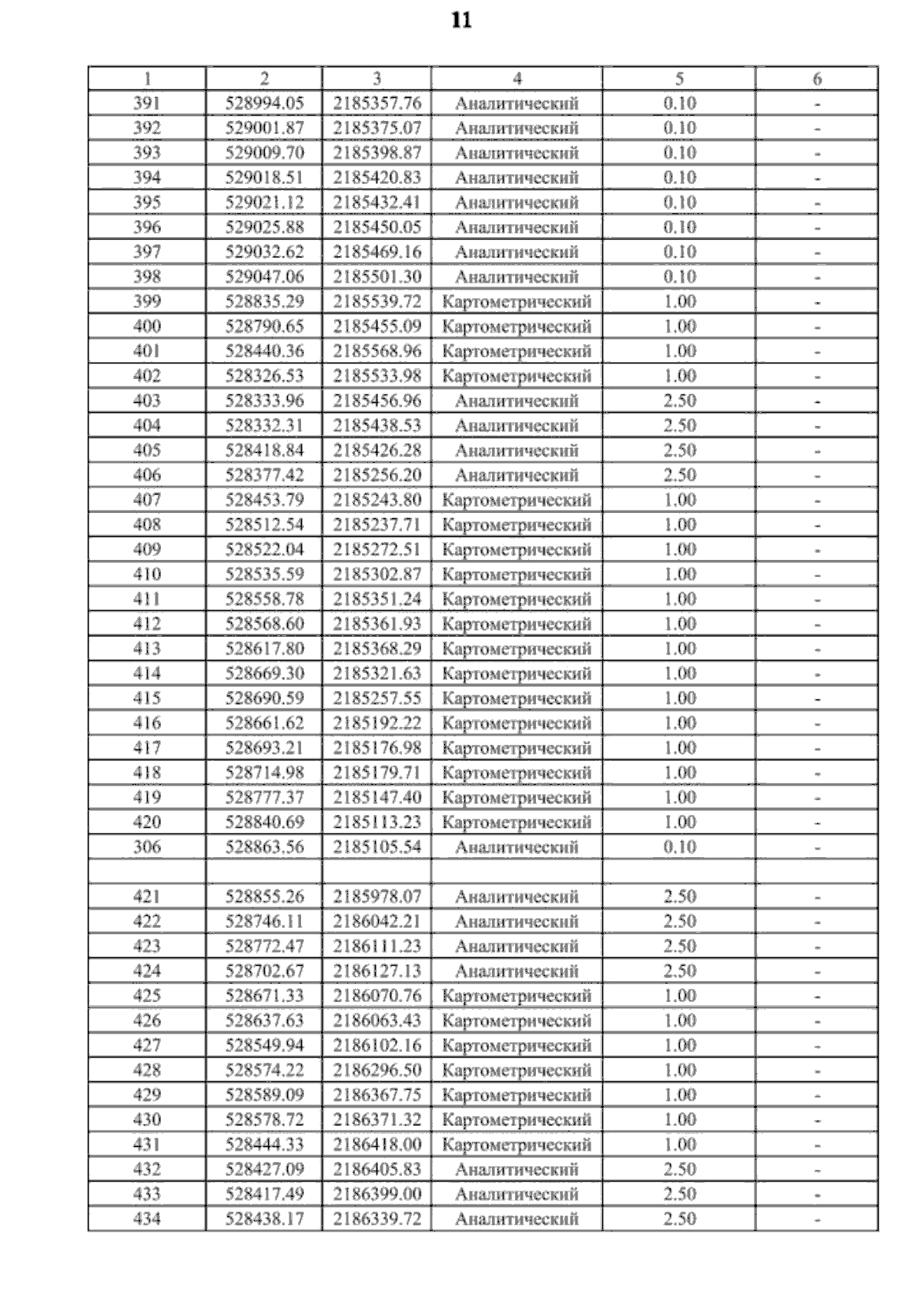
Приказ министерства архитектуры и градостроительства Воронежской области от 28.03.2024 № 45-01-04/101
"О внесении изменений в правила землепользования и застройки Щучинско-Песковского сельского поселения Эртильского муниципального района Воронежской области"
(Зарегистрирован 10.04.2024 № 395)
Номер опубликования: 3601202404150013
Дата опубликования: 15.04.2024
Страница №55 из 72:
Увеличить