Официальное опубликование правовых актов
ОФИЦИАЛЬНОЕ ОПУБЛИКОВАНИЕ
Приказ министерства архитектуры и градостроительства Воронежской области от 28.03.2024 № 45-01-04/107
"О внесении изменений в правила землепользования и застройки Берёзовского сельского поселения Аннинского муниципального района Воронежской области"
(Зарегистрирован 10.04.2024 № 400)
Номер опубликования: 3601202404150012
Дата опубликования: 15.04.2024
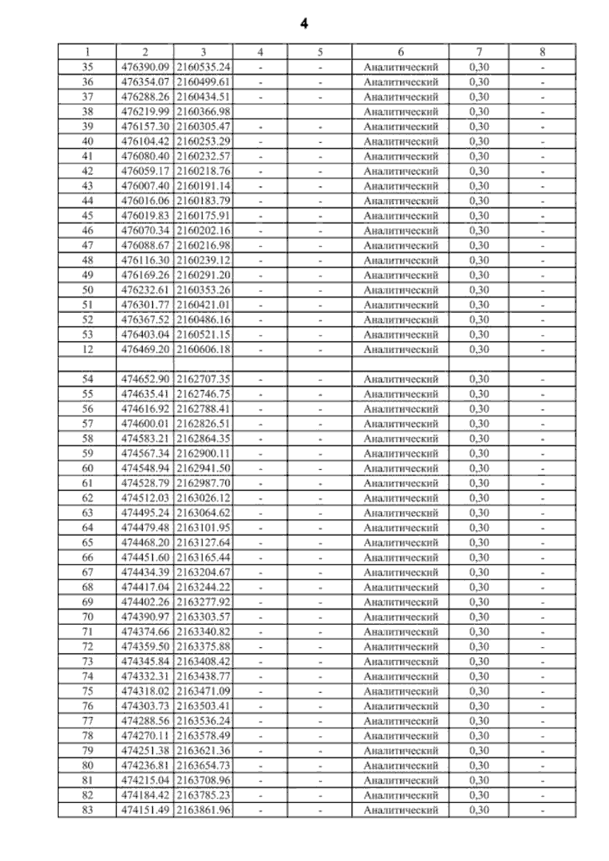
Страница №34 из 44:
Увеличить