Официальное опубликование правовых актов
ОФИЦИАЛЬНОЕ ОПУБЛИКОВАНИЕ
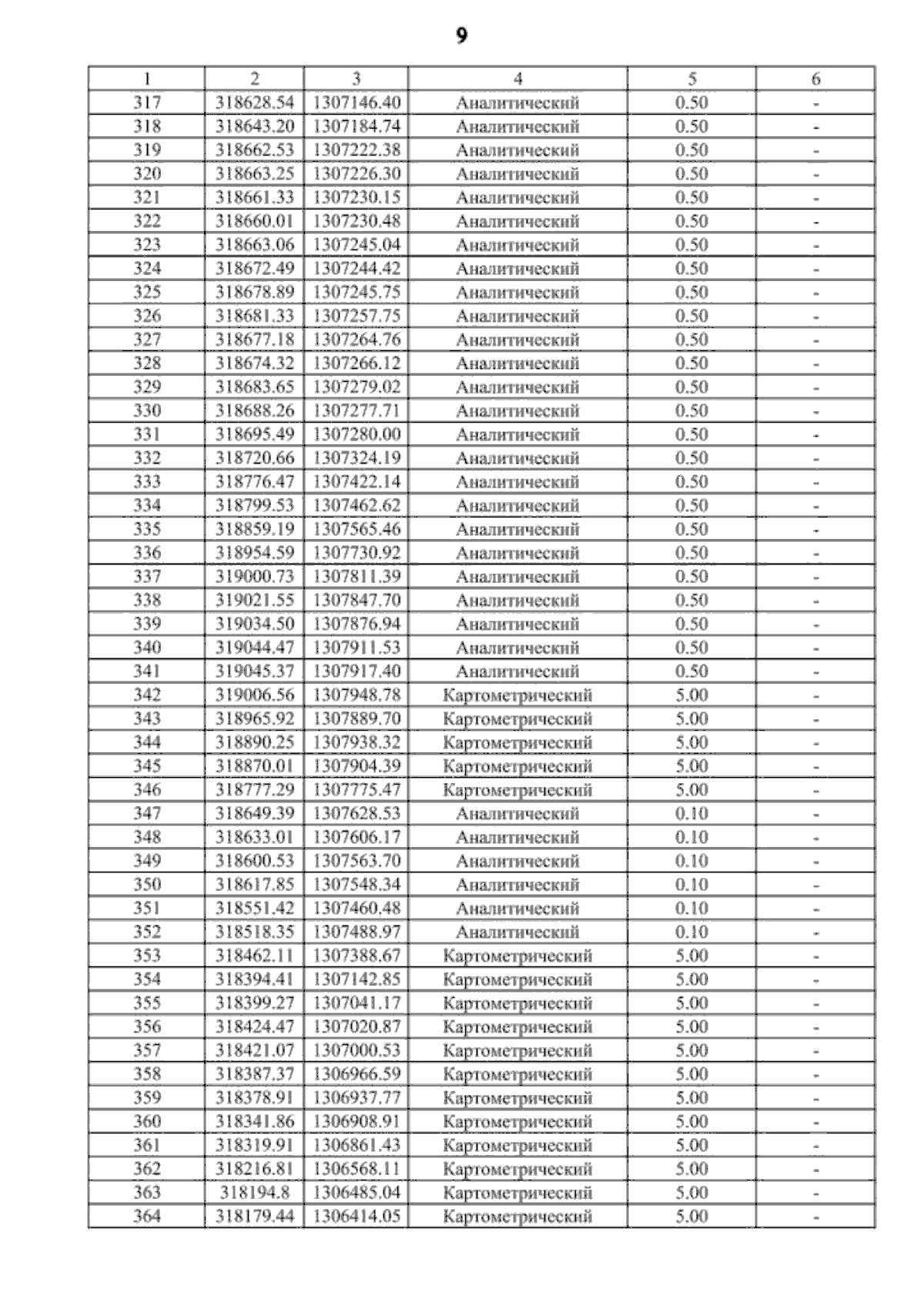
Приказ министерства архитектуры и градостроительства Воронежской области от 28.03.2024 № 45-01-04/106
"О внесении изменения в правила землепользования и застройки Кривоносовского сельского поселения Россошанского муниципального района Воронежской области"
(Зарегистрирован 10.04.2024 № 399)
Номер опубликования: 3601202404150011
Дата опубликования: 15.04.2024
Страница №18 из 37:
Увеличить