Официальное опубликование правовых актов
ОФИЦИАЛЬНОЕ ОПУБЛИКОВАНИЕ
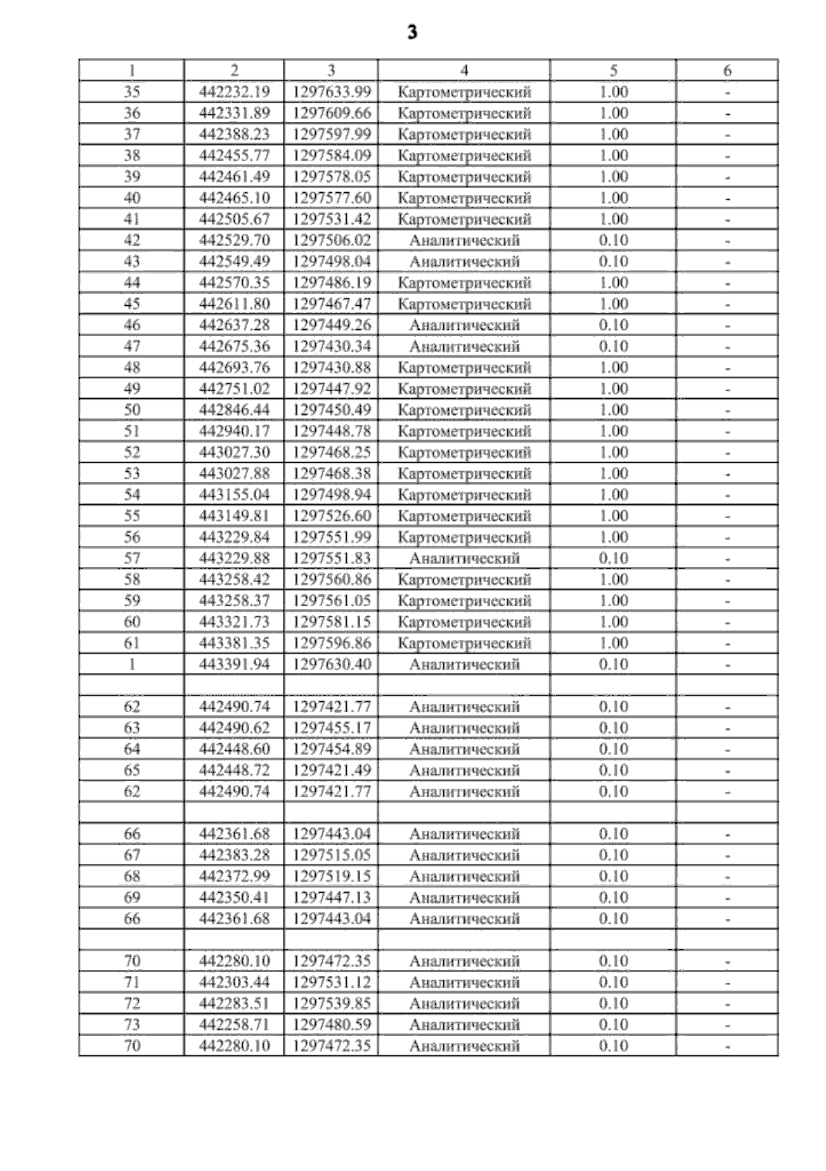
Приказ министерства архитектуры и градостроительства Воронежской области от 28.03.2024 № 45-01-04/105
"О внесении изменений в правила землепользования и застройки Петропавловского сельского поселения Острогожского муниципального района Воронежской области"
(Зарегистрирован 10.04.2024 № 398)
Номер опубликования: 3601202404150010
Дата опубликования: 15.04.2024
Страница №13 из 19:
Увеличить