Официальное опубликование правовых актов
ОФИЦИАЛЬНОЕ ОПУБЛИКОВАНИЕ
Приказ министерства архитектуры и градостроительства Воронежской области от 19.03.2024 № 45-01-04/95
"О внесении изменений в правила землепользования и застройки Нижнекарачанского сельского поселения Грибановского муниципального района Воронежской области"
(Зарегистрирован 02.04.2024 № 339)
Номер опубликования: 3601202404050003
Дата опубликования: 05.04.2024
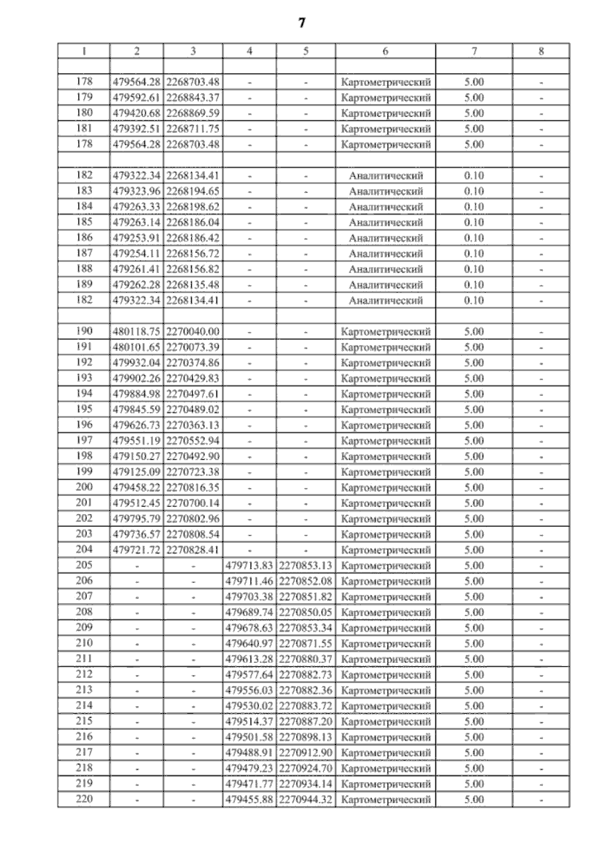
Страница №53 из 74:
Увеличить