Официальное опубликование правовых актов
ОФИЦИАЛЬНОЕ ОПУБЛИКОВАНИЕ
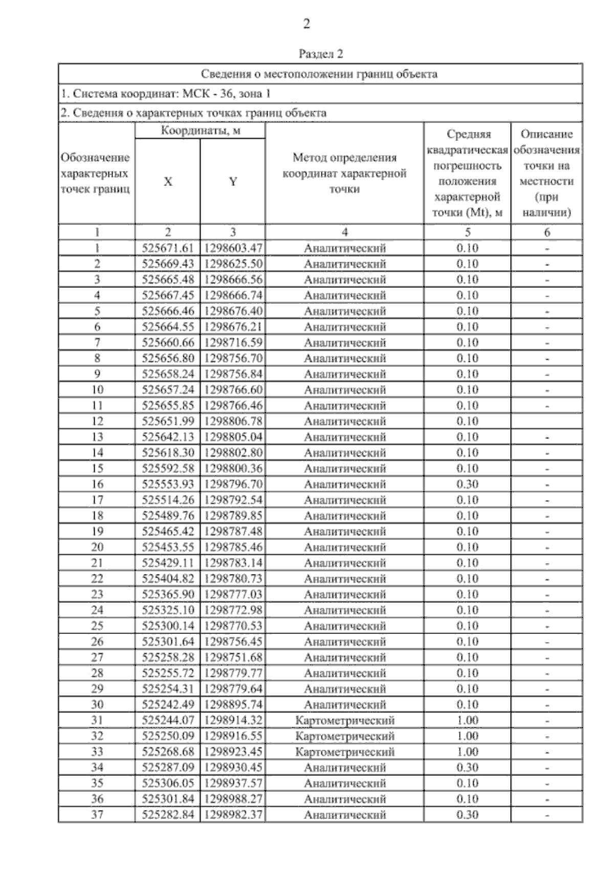
Приказ министерства архитектуры и градостроительства Воронежской области от 20.03.2024 № 45-01-04/96
"О внесении изменений в правила землепользования и застройки Яменского сельского поселения Рамонского муниципального района Воронежской области"
(Зарегистрирован 02.04.2024 № 340)
Номер опубликования: 3601202404050001
Дата опубликования: 05.04.2024
Страница №15 из 27:
Увеличить