Официальное опубликование правовых актов
ОФИЦИАЛЬНОЕ ОПУБЛИКОВАНИЕ
Приказ министерства архитектуры и градостроительства Воронежской области от 26.02.2024 № 45-01-04/61
"О внесении изменений в правила землепользования и застройки Девицкого сельского поселения Семилукского муниципального района Воронежской области"
(Зарегистрирован 11.03.2024 № 243)
Номер опубликования: 3601202403110002
Дата опубликования: 11.03.2024
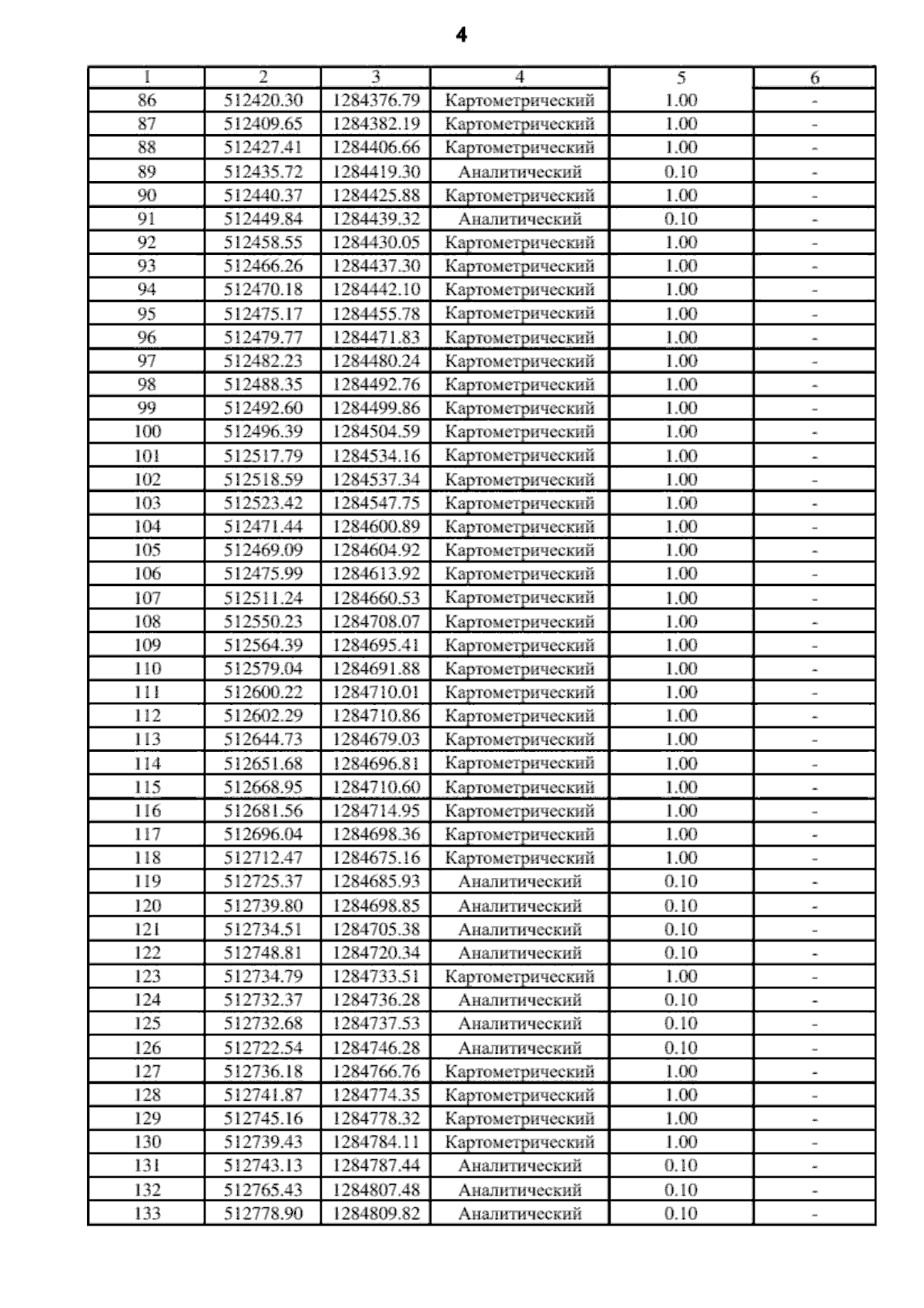
Страница №213 из 339:
Увеличить