Официальное опубликование правовых актов
ОФИЦИАЛЬНОЕ ОПУБЛИКОВАНИЕ
Приказ министерства архитектуры и градостроительства Воронежской области от 13.02.2024 № 45-01-04/38
"Об утверждении правил землепользования и застройки Борисоглебского городского округа Воронежской области"
(Зарегистрирован 14.02.2024 № 169)
Номер опубликования: 3601202402150001
Дата опубликования: 15.02.2024
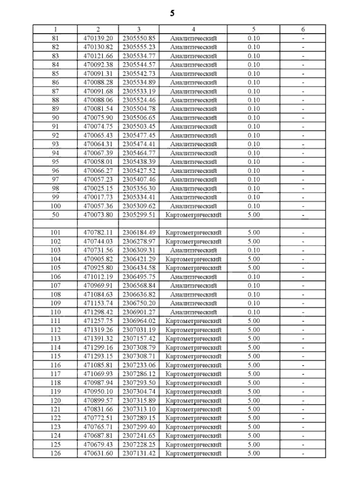
Страница №120 из 1648:
Увеличить