Официальное опубликование правовых актов
ОФИЦИАЛЬНОЕ ОПУБЛИКОВАНИЕ
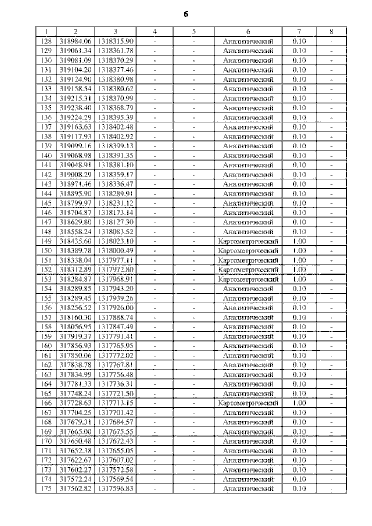
Приказ министерства архитектуры и градостроительства Воронежской области от 29.01.2024 № 45-01-04/23
"О внесении изменений в правила землепользования и застройки Жилинского сельского поселения Россошанского муниципального района Воронежской области"
(Зарегистрирован 12.02.2024 № 163)
Номер опубликования: 3601202402140002
Дата опубликования: 14.02.2024
Страница №28 из 66:
Увеличить