Официальное опубликование правовых актов
ОФИЦИАЛЬНОЕ ОПУБЛИКОВАНИЕ
Приказ министерства архитектуры и градостроительства Воронежской области от 25.01.2024 № 45-01-04/16
"О внесении изменений в правила землепользования и застройки Гремяченского сельского поселения Хохольского муниципального района Воронежской области"
(Зарегистрирован 01.02.2024 № 118)
Номер опубликования: 3601202402020007
Дата опубликования: 02.02.2024
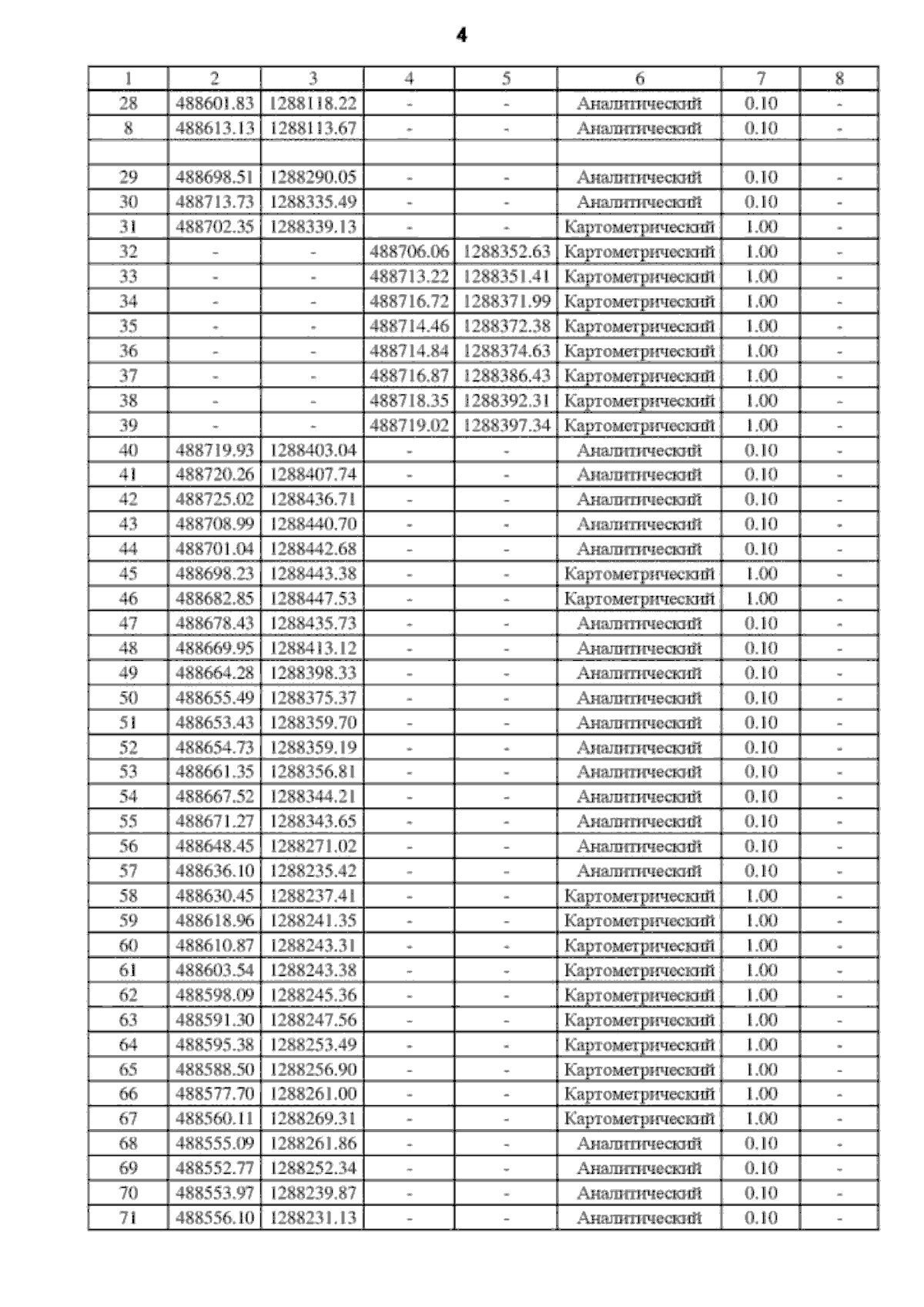
Страница №79 из 100:
Увеличить