Официальное опубликование правовых актов
ОФИЦИАЛЬНОЕ ОПУБЛИКОВАНИЕ
Приказ министерства архитектуры и градостроительства Воронежской области от 16.01.2024 № 45-01-04/5
"О внесении изменений в правила землепользования и застройки Лисичанского сельского поселения Ольховатского муниципального района Воронежской области"
(Зарегистрирован 30.01.2024 № 72)
Номер опубликования: 3601202401310006
Дата опубликования: 31.01.2024
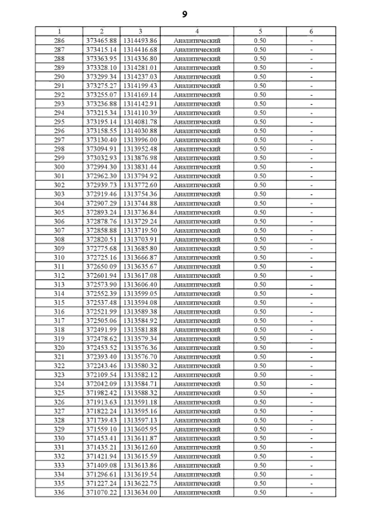
Страница №134 из 170:
Увеличить