Официальное опубликование правовых актов
ОФИЦИАЛЬНОЕ ОПУБЛИКОВАНИЕ
Приказ министерства архитектуры и градостроительства Воронежской области от 27.12.2023 № 45-01-04/1327
"О внесении изменений в правила землепользования и застройки Архангельского сельского поселения Хохольского муниципального района Воронежской области"
(Зарегистрирован 17.01.2024 № 14)
Номер опубликования: 3601202401240002
Дата опубликования: 24.01.2024
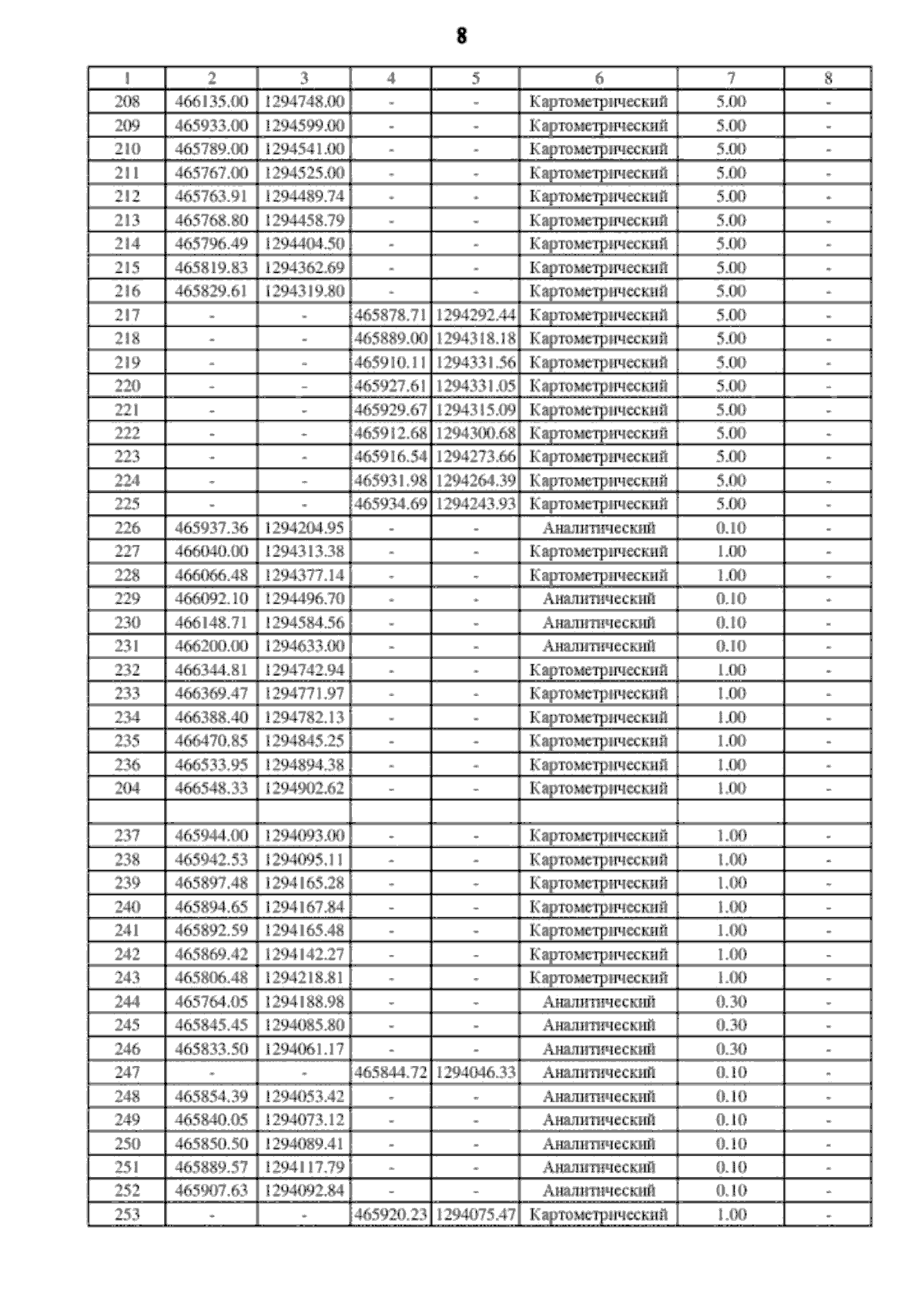
Страница №33 из 43:
Увеличить