Официальное опубликование правовых актов
ОФИЦИАЛЬНОЕ ОПУБЛИКОВАНИЕ
Приказ министерства архитектуры и градостроительства Воронежской области от 11.12.2023 № 45-01-04/1253
"О внесении изменений в правила землепользования и застройки городского поселения – город Калач Калачеевского муниципального района Воронежской области"
(Зарегистрирован 20.12.2023 № 2093)
Номер опубликования: 3601202312210015
Дата опубликования: 21.12.2023
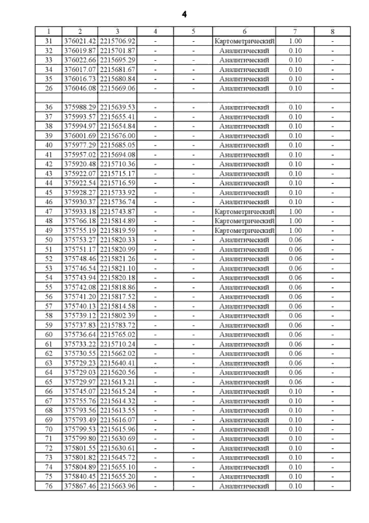
Страница №102 из 172:
Увеличить