Официальное опубликование правовых актов
ОФИЦИАЛЬНОЕ ОПУБЛИКОВАНИЕ
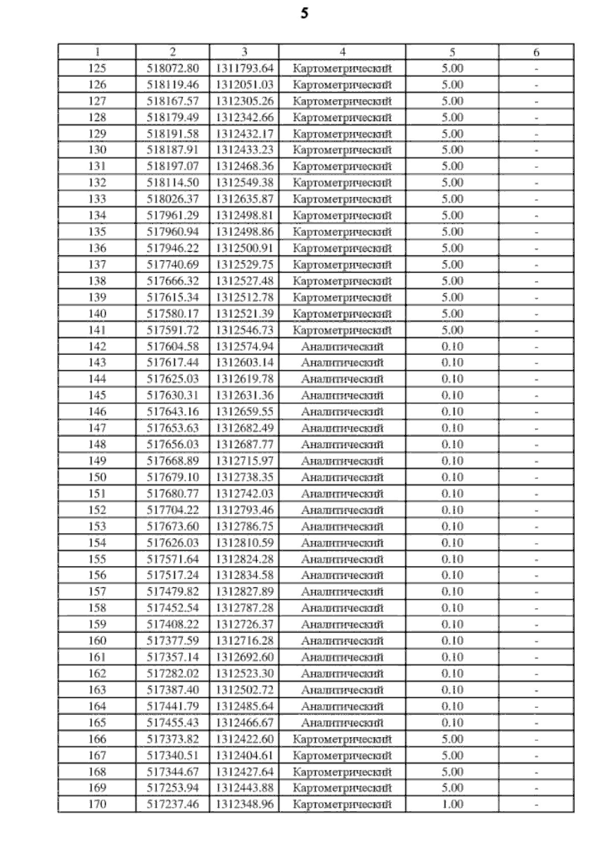
Приказ министерства архитектуры и градостроительства Воронежской области от 08.12.2023 № 45-01-04/1243
"О внесении изменений в правила землепользования и застройки Бабяковского сельского поселения Новоусманского муниципального района Воронежской области"
(Зарегистрирован 20.12.2023 № 2094)
Номер опубликования: 3601202312210013
Дата опубликования: 21.12.2023
Страница №17 из 162:
Увеличить