Официальное опубликование правовых актов
ОФИЦИАЛЬНОЕ ОПУБЛИКОВАНИЕ
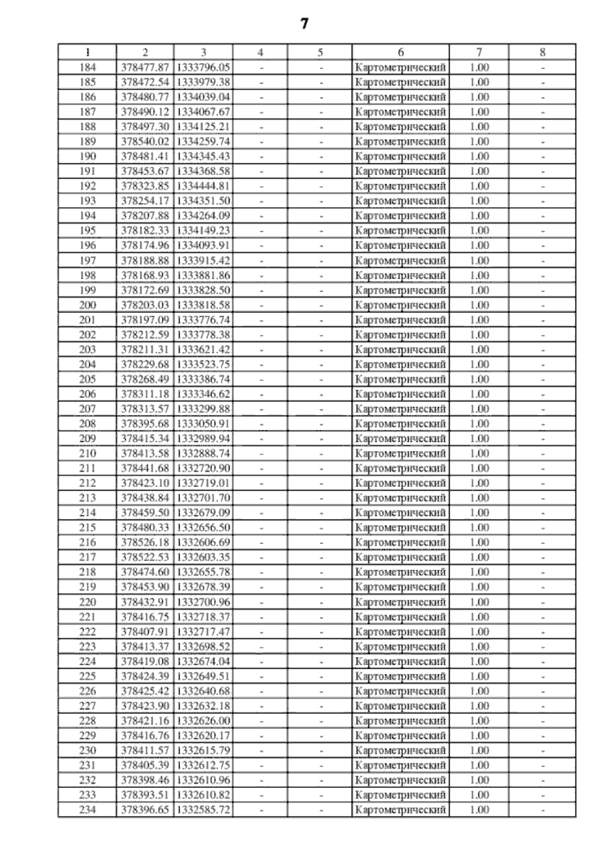
Приказ министерства архитектуры и градостроительства Воронежской области от 07.12.2023 № 45-01-04/1242
"О внесении изменений в правила землепользования и застройки Подгоренского городского поселения Подгоренского муниципального района Воронежской области"
(Зарегистрирован 13.12.2023 № 1901)
Номер опубликования: 3601202312150018
Дата опубликования: 15.12.2023
Страница №89 из 190:
Увеличить