Официальное опубликование правовых актов
ОФИЦИАЛЬНОЕ ОПУБЛИКОВАНИЕ
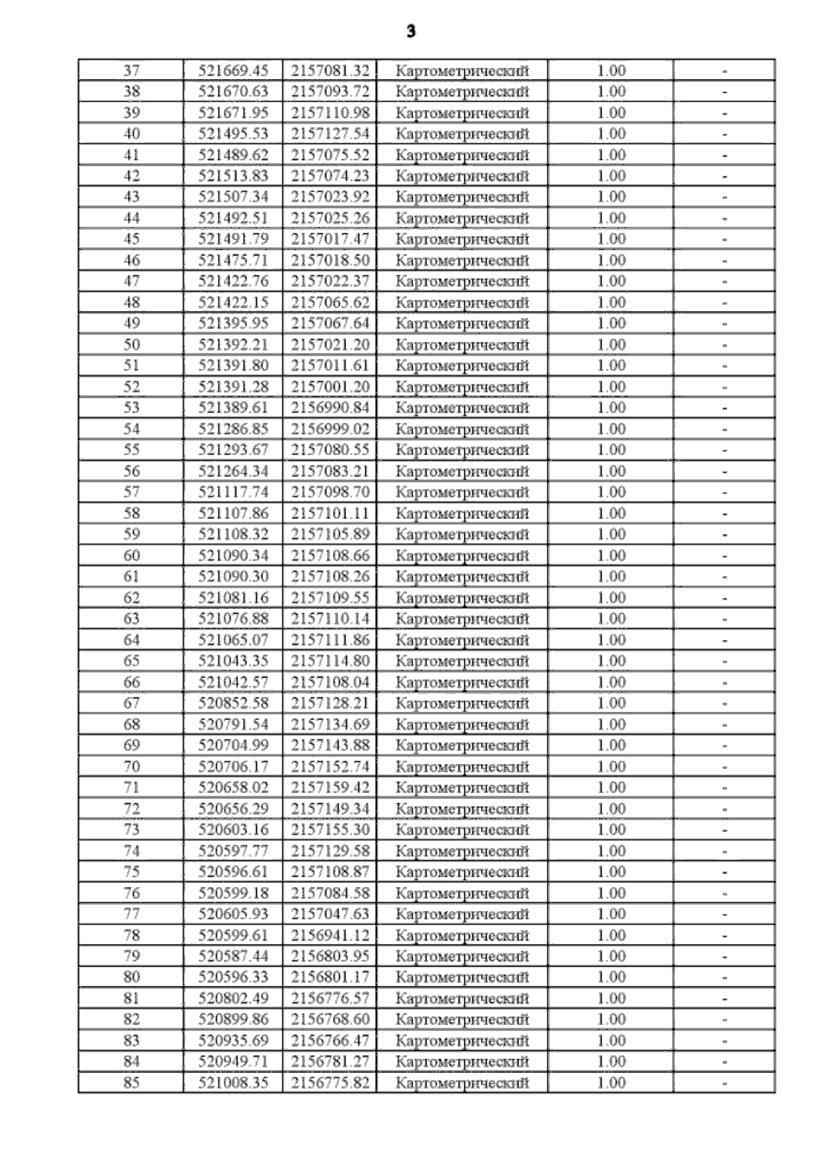
Приказ министерства архитектуры и градостроительства Воронежской области от 04.12.2023 № 45-01-04/1232
"О внесении изменений в правила землепользования и застройки Красненского сельского поселения Панинского муниципального района Воронежской области"
(Зарегистрирован 13.12.2023 № 1904)
Номер опубликования: 3601202312150016
Дата опубликования: 15.12.2023
Страница №9 из 50:
Увеличить