Официальное опубликование правовых актов
ОФИЦИАЛЬНОЕ ОПУБЛИКОВАНИЕ
Приказ министерства архитектуры и градостроительства Воронежской области от 04.12.2023 № 45-01-04/1231
"О внесении изменений в правила землепользования и застройки Пузевского сельского поселения Бутурлиновского муниципального района Воронежской области"
(Зарегистрирован 13.12.2023 № 1898)
Номер опубликования: 3601202312150012
Дата опубликования: 15.12.2023
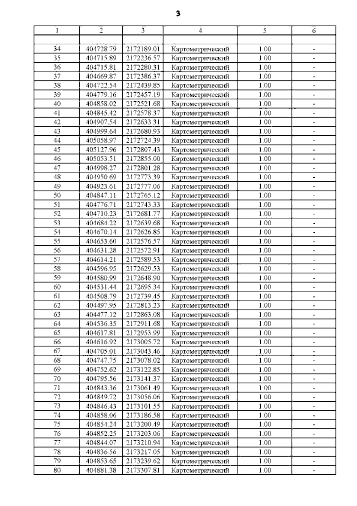
Страница №51 из 113:
Увеличить