Официальное опубликование правовых актов
ОФИЦИАЛЬНОЕ ОПУБЛИКОВАНИЕ
Приказ министерства архитектуры и градостроительства Воронежской области от 24.11.2023 № 45-01-04/1189
"О внесении изменений в правила землепользования и застройки Гришевского сельского поселения Подгоренского муниципального района Воронежской области"
(Зарегистрирован 07.12.2023 № 1730)
Номер опубликования: 3601202312080009
Дата опубликования: 08.12.2023
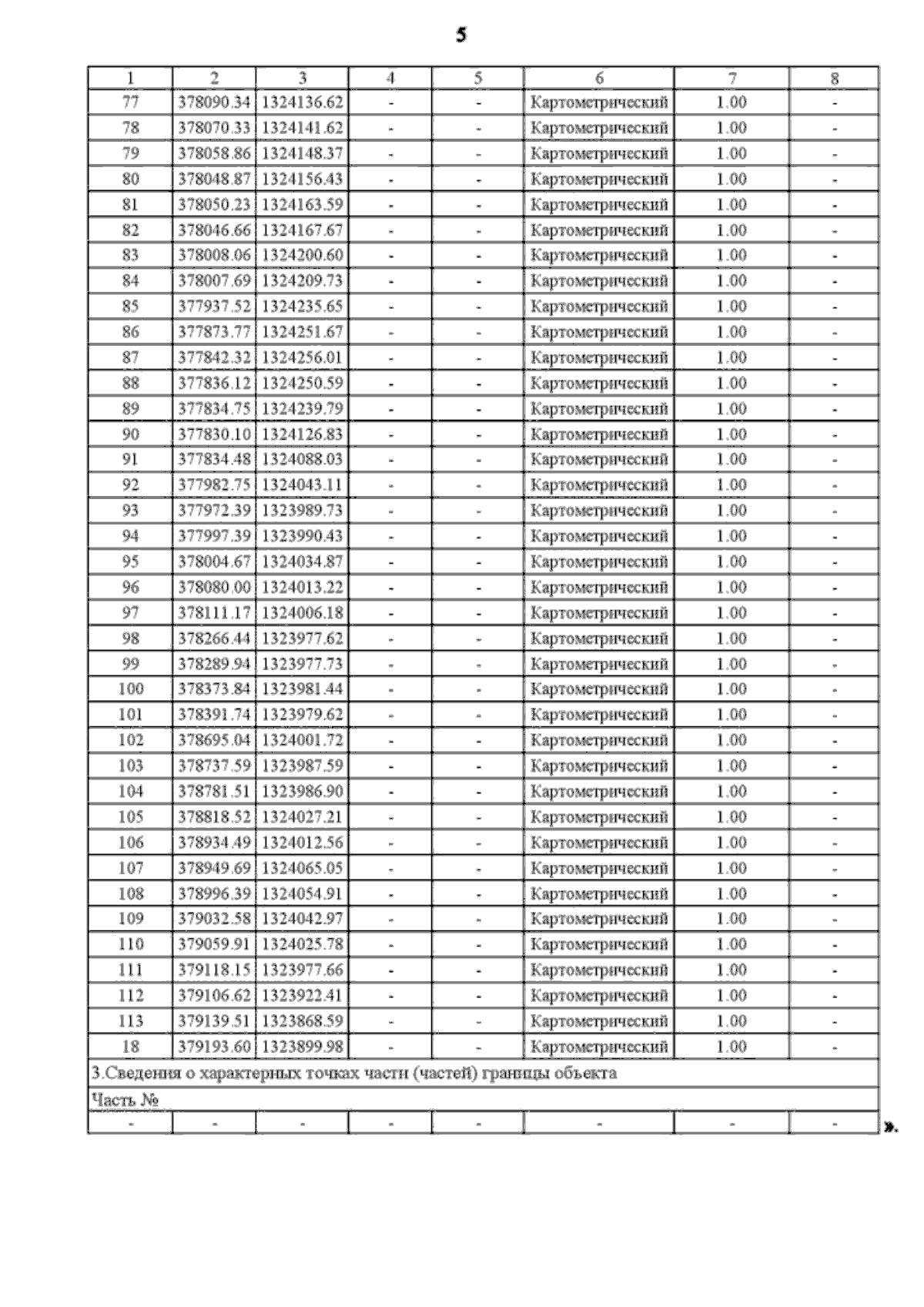
Страница №16 из 16:
Увеличить