Официальное опубликование правовых актов
ОФИЦИАЛЬНОЕ ОПУБЛИКОВАНИЕ
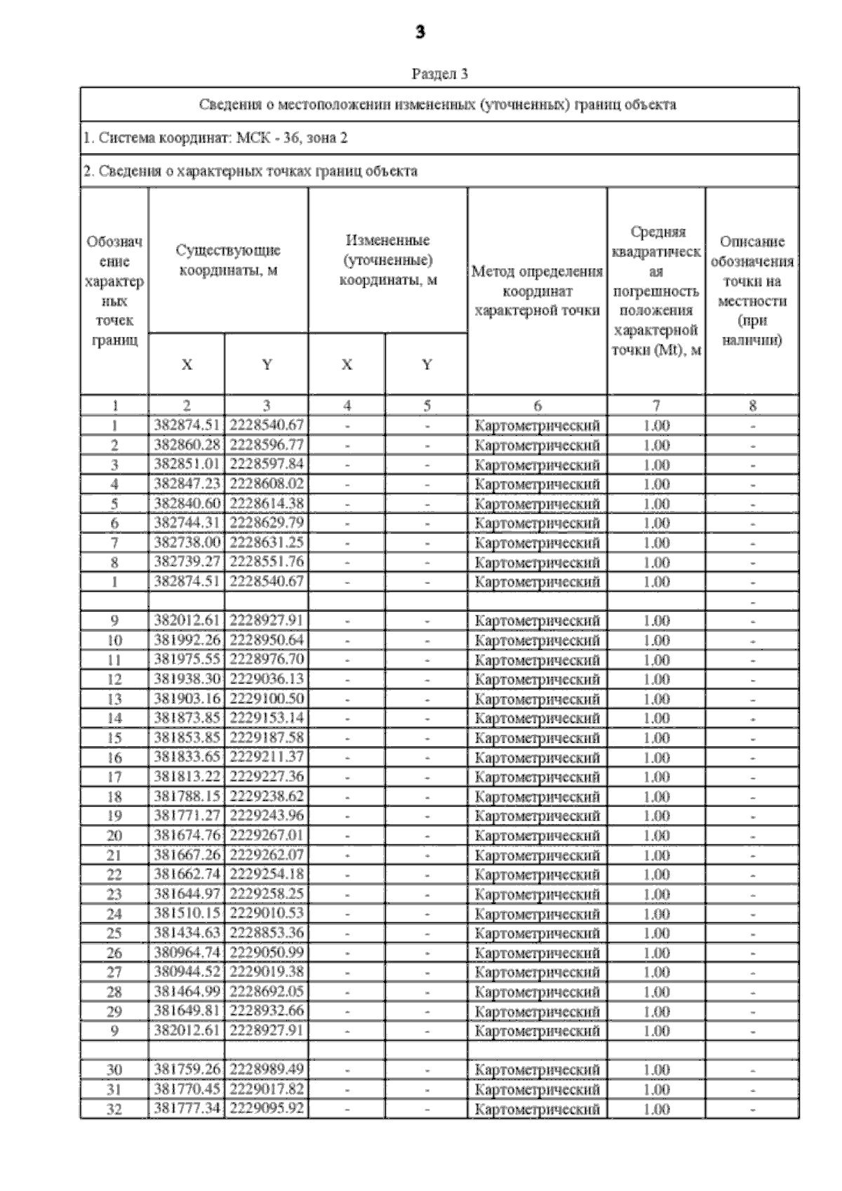
Приказ министерства архитектуры и градостроительства Воронежской области от 24.11.2023 № 45-01-04/1190
"О внесении изменений в правила землепользования и застройки Подгоренского сельского поселения Калачеевского муниципального района Воронежской области"
(Зарегистрирован 01.12.2023 № 1661)
Номер опубликования: 3601202312060012
Дата опубликования: 06.12.2023
Страница №47 из 78:
Увеличить