Официальное опубликование правовых актов
ОФИЦИАЛЬНОЕ ОПУБЛИКОВАНИЕ
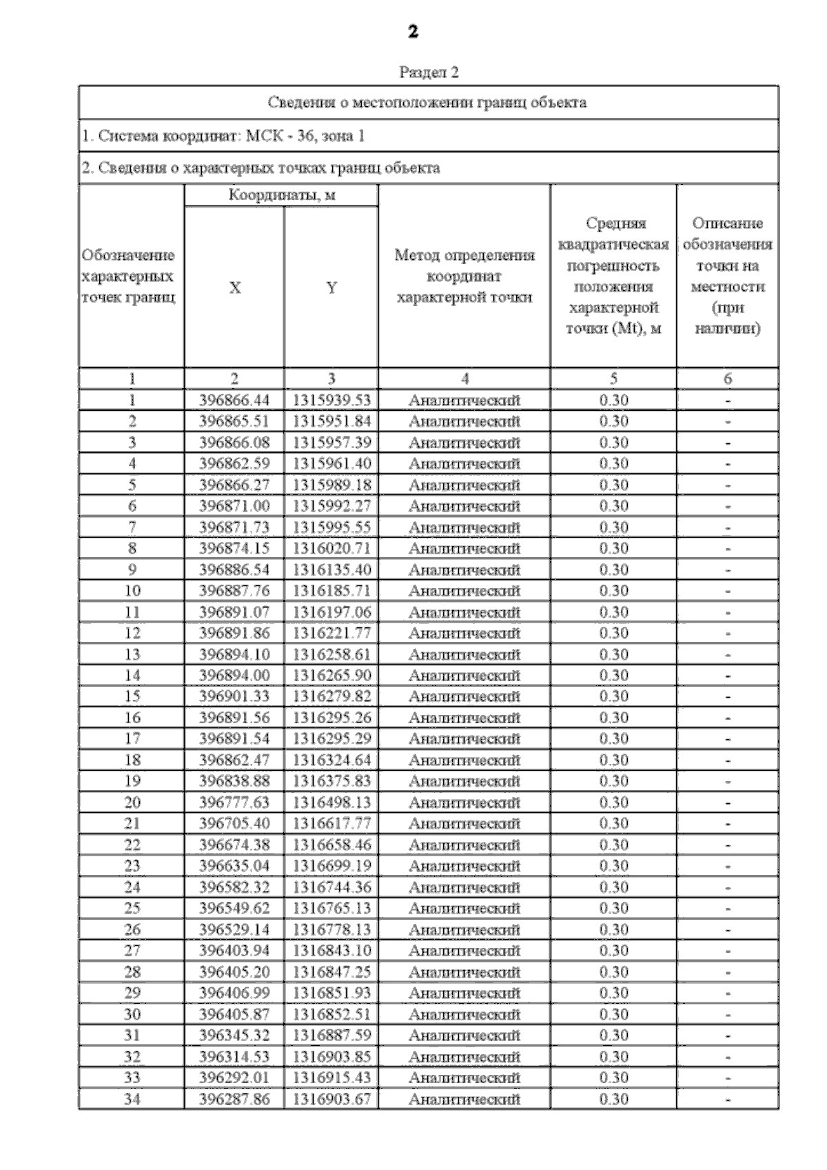
Приказ министерства архитектуры и градостроительства Воронежской области от 23.11.2023 № 45-01-04/1187
"О внесении изменений в правила землепользования и застройки Коденцовского сельского поселения Каменского муниципального района Воронежской области"
(Зарегистрирован 01.12.2023 № 1657)
Номер опубликования: 3601202312060010
Дата опубликования: 06.12.2023
Страница №28 из 36:
Увеличить