Официальное опубликование правовых актов
ОФИЦИАЛЬНОЕ ОПУБЛИКОВАНИЕ
Приказ министерства архитектуры и градостроительства Воронежской области от 22.11.2023 № 45-01-04/1178
"О внесении изменений в правила землепользования и застройки Петинского сельского поселения Хохольского муниципального района Воронежской области"
(Зарегистрирован 01.12.2023 № 1656)
Номер опубликования: 3601202312060001
Дата опубликования: 06.12.2023
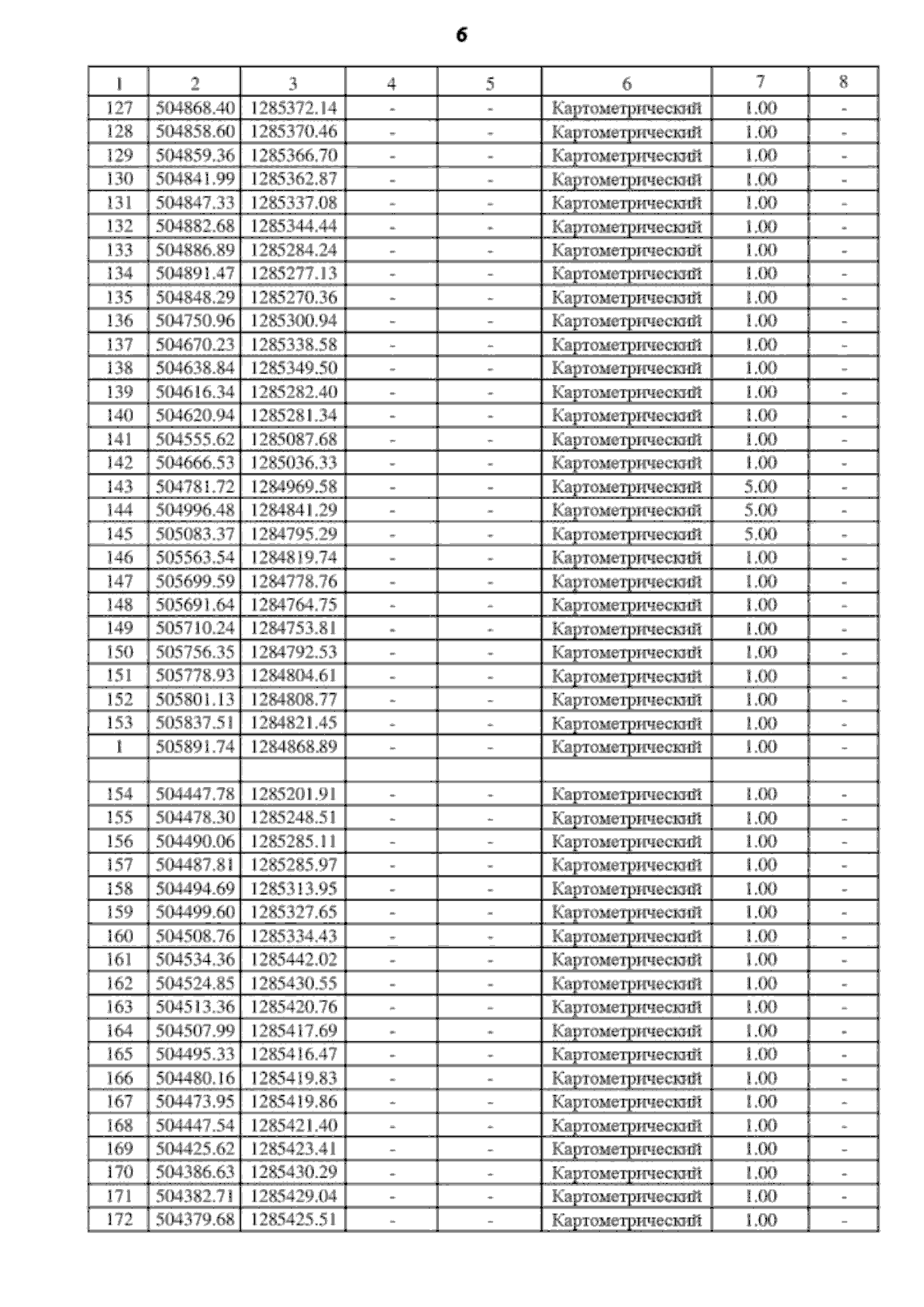
Страница №15 из 94:
Увеличить