Официальное опубликование правовых актов
ОФИЦИАЛЬНОЕ ОПУБЛИКОВАНИЕ
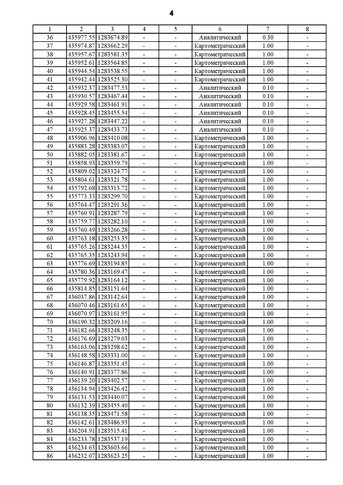
Приказ министерства архитектуры и градостроительства Воронежской области от 21.11.2023 № 45-01-04/1176
"О внесении изменений в правила землепользования и застройки Терновского сельского поселения Острогожского муниципального района Воронежской области"
(Зарегистрирован 27.11.2023 № 1582)
Номер опубликования: 3601202312040007
Дата опубликования: 04.12.2023
Страница №11 из 17:
Увеличить