Официальное опубликование правовых актов
ОФИЦИАЛЬНОЕ ОПУБЛИКОВАНИЕ
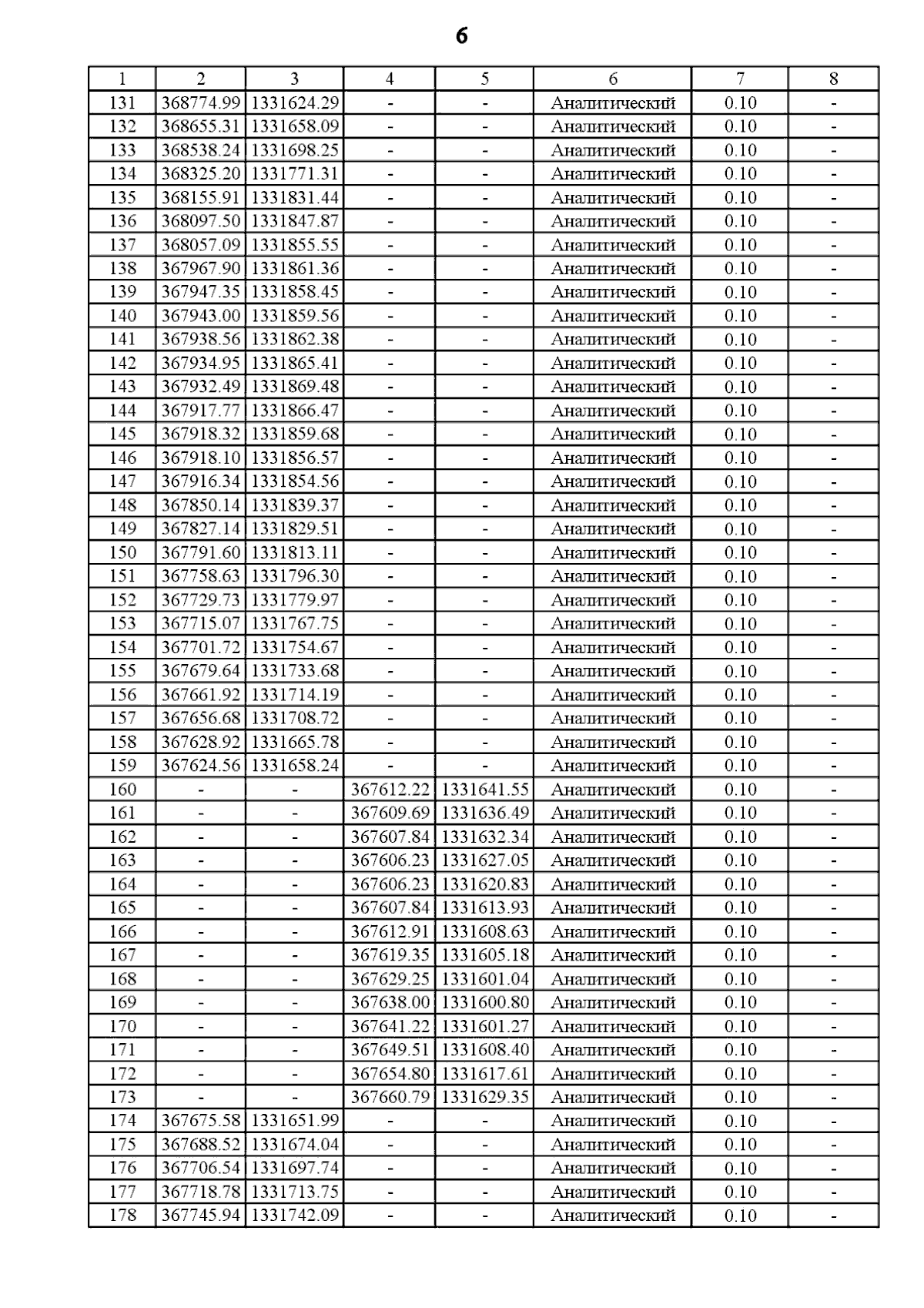
Приказ министерства архитектуры и градостроительства Воронежской области от 13.11.2023 № 45-01-04/1123
"О внесении изменений в правила землепользования и застройки Первомайского сельского поселения Подгоренского муниципального района Воронежской области"
(Зарегистрирован 27.11.2023 № 1580)
Номер опубликования: 3601202312040006
Дата опубликования: 04.12.2023
Страница №34 из 47:
Увеличить