Официальное опубликование правовых актов
ОФИЦИАЛЬНОЕ ОПУБЛИКОВАНИЕ
Приказ министерства тарифного регулирования Воронежской области от 23.11.2023 № 57/4
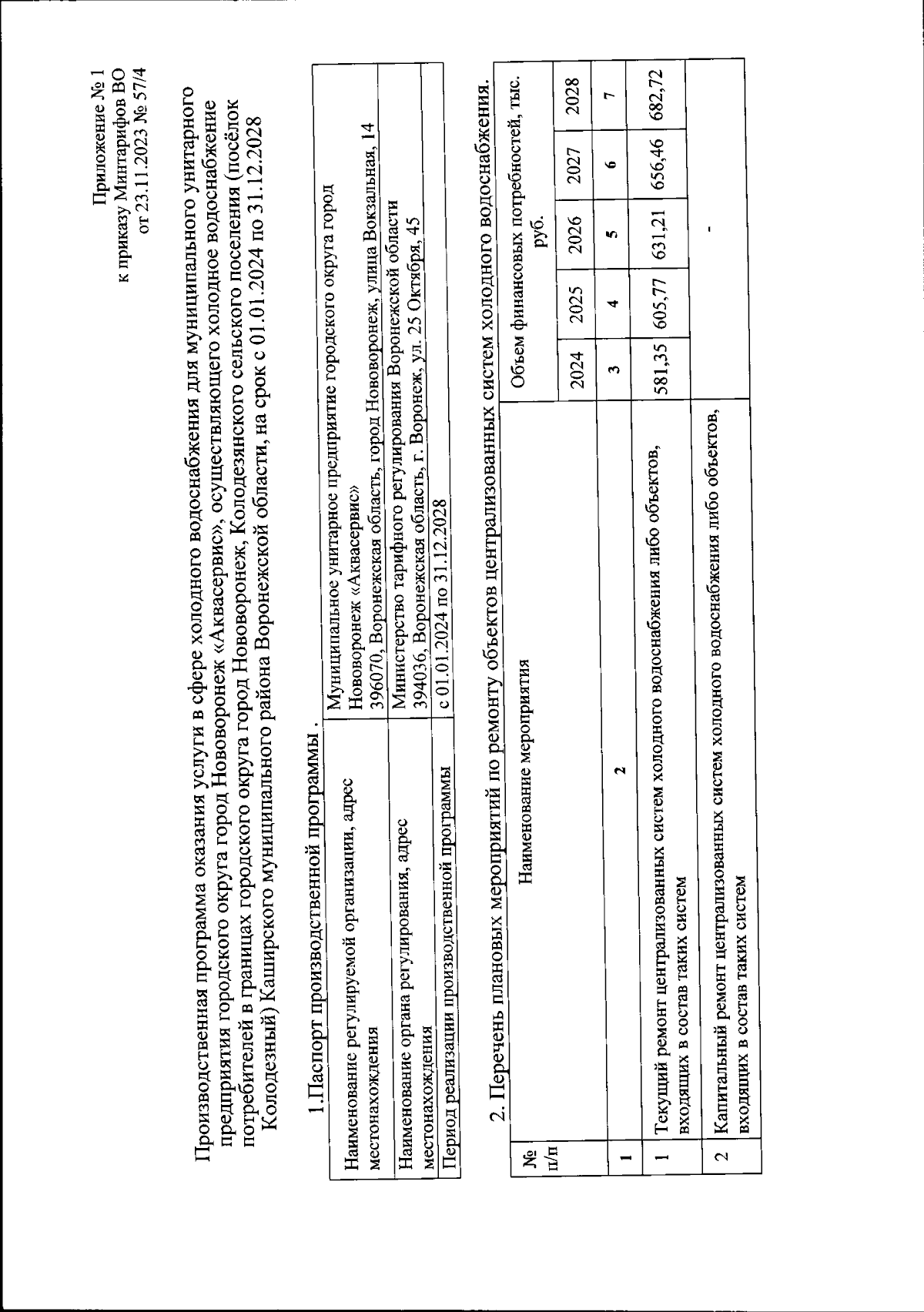
"Об установлении долгосрочных параметров регулирования деятельности и тарифов на питьевую воду (питьевое водоснабжение) для муниципального унитарного предприятия городского округа город Нововоронеж "Аквасервис", осуществляющего холодное водоснабжение в границах городского округа город Нововоронеж, Колодезянского сельского поселения (посёлок Колодезный) Каширского муниципального района Воронежской области, на период 2024-2028 годов"
(Зарегистрирован 29.11.2023 № 1602)
Номер опубликования: 3601202311300028
Дата опубликования: 30.11.2023
Страница №3 из 8:
Увеличить